

lm hết nhé mn vội quá mai còn hc nữa cảm ơn mn đã giúp mik nha
Hãy luôn nhớ cảm ơn và vote 5*
nếu câu trả lời hữu ích nhé!
Đáp án `+` Giải thích các bước giải:
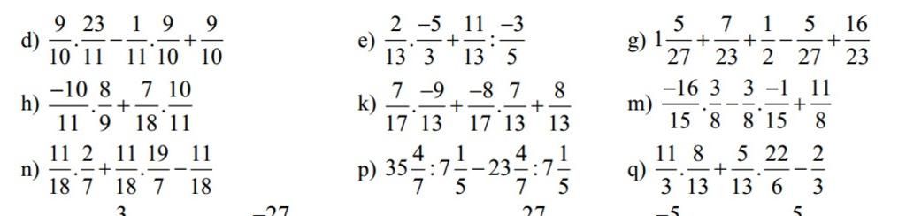
`d) 9/10 * 23/11 - 1/11 * 9/10 + 9/10`
`= 9/10(23/11 - 1/11 + 1)`
`= 9/10 * 3`
`= 27/10`
`\text{}`
`e) 2/13 * (-5)/3 + 11/13 : (-3)/5`
`= 2/13 * (-5)/3 + 11/13 * (-5)/3`
`= (-5)/3(2/13 + 11/13)`
`= (-5)/3 * 1`
`= (-5)/3`
`\text{}`
`g) 1 5/27 + 7/23 + 1/2 - 5/27 + 16/23`
`= 32/27 + 7/23 + 1/2 - 5/27 + 16/23`
`= (32/27 - 5/27) + (7/23 + 16/23) + 1/2`
`= 1 + 1 + 1/2`
`= 5/2`
`\text{}`
`h) (-10)/11 * 8/9 + 7/18 * 10/11`
`= 10/11 * (-8)/9 + 7/18 * 10/11`
`= 10/11((-8)/9 + 7/18)`
`= 10/11 * (-1)/2`
`= (-5)/11`
`\text{}`
`k) 7/17 * (-9)/13 + (-8)/17 * 7/13 + 8/13`
`= 7/13 * (-9)/17 + (-8)/17 * 7/13 + 8/13`
`= 7/13((-9)/17 + (-8)/17) + 8/13`
`= 7/13 * (-1) + 8/13`
`= -7/13 + 8/13`
`= 1/13`
`\text{}`
`m) (-16)/15 * 3/8 - 3/8 * (-1)/15 + 11/8`
`= 3/8((-16)/15 + 1/15) + 11/8`
`= 3/8 * (-1) + 11/8`
`= -3/8 + 11/8`
`= 1`
`\text{}`
`n) 11/18 * 2/7 + 11/18 * 19/7 - 11/18`
`= 11/18(2/7 + 19/7 - 1)`
`= 11/18 * 2`
`= 11/9`
`\text{}`
`p) 35 4/7 : 7 1/5 - 23 4/7 : 7 1/5`
`= (35 4/7 - 23 4/7) : 7 1/5`
`= 12 : 36/5`
`= 5/3`
`\text{}`
`q) 11/3 * 8/13 + 5/13 * 22/6 - 2/3`
`= 11/3 * 8/13 + 5/13 * 11/3 - 2/3`
`= 11/3(8/13 + 5/13) - 2/3`
`= 11/3 * 1 - 2/3`
`= 11/3 - 2/3`
`= 3`
`color{#CC33FF}{K}color{#CC33CC}{a}color{#CC3399}{m}color{#CC3366}{a}color{#993366}{d}color{#993399}{o}` `color{#9933CC}{N}color{#9933FF}{e}color{#6633FF}{z}color{#6633CC}{u}color{#663399}{k}color{#663366}{o}` `color{#333366}{c}color{#333399}{u}color{#3333CC}{t}color{#3333FF}{e}`
Hãy giúp mọi người biết câu trả lời này thế nào?

d) `9/10 . 23/11 - 1/11 . 9/10 + 9/10`
`= 9/10 . (23/11 - 1/11 + 11/11)`
`= 9/10 . 33/11`
`= 9/10 . 3`
`= 27/10`
e) `2/13 . (-5)/3 + 11/13 : (-3)/5`
`= 2/13 . (-5)/3 + 11/13 . (-5)/3`
`= (-5)/3 . (2/13 + 11/13)`
`= (-5)/3 . 1`
`= -5/3`
g) `1 5/27 + 7/23 + 1/2 - 5/27 + 16/23`
`= (1 5/27 - 5/27) + (7/23 + 16/23) + 1/2`
`= (1 + 5/27 - 5/27) + 1 + 1/2`
`= 1 + 3/2`
`= 5/2`
h) `(-10)/11 . 8/9 + 7/18 . 10/11`
`= 10/11 . (-16/18) + 7/18 . 10/11`
`= 10/11 . (-16/18 + 7/18)`
`= 10/11 . (-9)/18`
`= 10/11 . (-1)/2`
`= -10/22 = -5/11`
k) `7/17 . (-9)/13 + (-8)/17 . 7/13 + 8/13`
`= 7/13 . (-9)/17 + (-8)/17 . 7/13 + 8/13`
`= 7/13 . ((-9)/17 + (-8)/17) + 8/13`
`= 7/13 . (-1) + 8/13`
`= 8/13 - 7/13`
`= 1/13`
m) `(-16)/15 . 3/8 - 3/8 . (-1)/15 + 11/8`
`= ((-16)/15 - (-1)/15) . 3/8 + 11/8`
`= (-15)/15 . 3/8 + 11/8`
`= -3/8 + 11/8`
`= 8/8`
`= 1`
n) `11/18 . 2/7 + 11/18 . 19/7 - 11/18`
`= 11/18 . (2/7 + 19/7 - 1)`
`= 11/18 . 21/7 - 7/7`
`= 11/18 . 14/7`
`= 11/18 . 2`
`= 11/9`
p) `35 4/7 : 7 1/5 - 23 4/7 : 7 1/5`
`= (35 4/7 - 23 4/7) : 7 1/5`
`= (35 + 4/7 - 23 - 4/7) : (7xx5+1)/5`
`= 12 : 36/5`
`= 12 . 5/36`
`= 5/3`
q) `11/3 . 8/13 + 5/13 . 22/6 - 2/3`
`= 11/13 . 8/3 + 2 . 11/3 . 5/6 - 2/3`
`= 11/13 . 16/6 + 11/13 . 10/6 - 2/3`
`= 11/13 . (16/6 + 10/6) - 2/3`
`= 11/13 . 26/6 - 2/3`
`= 11/13 . 13/3 - 2/3`
`= 11/3 - 2/3`
`= 9/3 = 3`
Hãy giúp mọi người biết câu trả lời này thế nào?

Bảng tin