

Hãy luôn nhớ cảm ơn và vote 5*
nếu câu trả lời hữu ích nhé!
Đáp án:+Giải thích các bước giải:
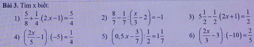
Bài `3`
`1.``5/8 +1/4 (2x-1) =5/4`
`1/4(2x-1) =5/4 -5/8`
`1/4(2x-1) = 5/8`
`2x-1=5/8 :1/4`
`2x-1 = 5/2`
`2x=5/2+1`
`2x = 7/2`
`x=7/2:2`
`x=7/4`
vậy `x =7/4`
`2 . 8/7 - 1/7:(x/3-2)=-1`
`1/7:(x/3-2)=8/7 -(-1)`
`1/7:(x/3-2) = 15/7`
`x/3-2 = 1/7 : 15/7`
`x/3 -2 =1/15`
`x/3 = 1/15 +2`
`x/3 = 31/15`
`x= 31/15 *3`
`x = 31/5`
Vậy `x=31/5`
`3 . 5 1/2 -1/2(2x+1) =1/2`
`1/2(2x+1) = 5 1/2 -1/2`
`1/2(2x+1) = 5`
`2x+1 =5 : 1/2`
`2x+1=10`
`2x=10-1`
`2x=9`
`x=9/2`
Vậy `x=9/2`
`4.((2x)/5-1) :(-5)=1/4`
`(2x)/5 -1=1/4 *(-5)`
`(2x)/5 -1 = (-5)/4`
`(2x)/5 = -5/4 +1`
`(2x)/5 = -1/4`
`2x= -1/4 *5`
`2x =-5/4`
`x=-5/4 :2`
`x=-5/8`
Vậy `x=-5/8`
`5 . (0,5x -3/7) :1/2 = 1 1/7`
`0,5x - 3/7 = 8/7 *1/2`
`1/2x -3/7 = 4/7`
`1/2x =4/7 +3/7`
`1/2x = 1`
`x =1:1/2`
`x=2`
Vậy `x=2`
`6`
`((2x)/3-3):(-10) =2/5`
`(2x)/3-3=2/5 *(-10)`
`(2x)/3 -3 = -4`
`(2x)/3 =-4+3`
`(2x)/3 =-1`
`2x =-3`
`x=-3/2`
Vậy `x=-3/2`
Hãy giúp mọi người biết câu trả lời này thế nào?
Đáp án `+` Giải thích các bước giải:
`1) 5/8 + 1/4(2x - 1) = 5/4`
`1/4(2x - 1) = 5/8`
`2x - 1 = 5/2`
`2x = 7/2`
`x = 7/4`
Vậy `x = 7/4`
---
`2) 8/7 - 1/7 : (x/3 - 2) = -1`
`1/7 : (x/3 - 2) = 15/7`
`x/3 - 2 = 1/15`
`x/3 = 31/15`
`=> x * 15 = 31 * 3`
`x * 15 = 93`
`x = 31/5`
Vậy `x = 31/5`
---
`3) 5 1/2 - 1/2(2x + 1) = 1/2`
`1/2(2x + 1) = 5`
`2x + 1 = 10`
`2x = 9`
`x = 9/2`
Vậy `x = 9/2`
---
`4) ((2x)/5 - 1) : (-5) = 1/4`
`(2x)/5 - 1 = -5/4`
`(2x)/5 = -1/4`
`=> 2x * 4 = -5`
`2x = -5/4`
`x = -5/8`
Vậy `x = -5/8`
---
`5) (0,5x - 3/7) : 1/2 = 1 1/7`
`1/2x - 3/7 = 4/7`
`1/2x = 1`
`x = 2`
Vậy `x = 2`
---
`6) ((2x)/3 - 3) : (-10) = 2/5`
`(2x)/3 - 3 = -4`
`(2x)/3 = -1`
`=> 2x = -3`
`x = -3/2`
Vậy `x = -3/2`
`color{#CC33FF}{K}color{#CC33CC}{a}color{#CC3399}{m}color{#CC3366}{a}color{#993366}{d}color{#993399}{o}` `color{#9933CC}{N}color{#9933FF}{e}color{#6633FF}{z}color{#6633CC}{u}color{#663399}{k}color{#663366}{o}` `color{#333366}{c}color{#333399}{u}color{#3333CC}{t}color{#3333FF}{e}`
Hãy giúp mọi người biết câu trả lời này thế nào?
Bảng tin