Vui lòng chỉ chọn một câu hỏi
Hoidap247.com Nhanh chóng, chính xác
+
Danh mục mới
0
2
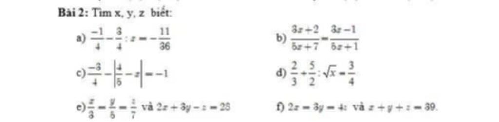
Giúpp tuiii vớiii đccc kooo
Hãy luôn nhớ cảm ơn và vote 5* nếu câu trả lời hữu ích nhé!
3
161
Đáp án:
Giải thích các bước giải:mờ quá
Hãy giúp mọi người biết câu trả lời này thế nào?
Bảng tin
Gửi yêu cầu Hủy