

Hãy luôn nhớ cảm ơn và vote 5*
nếu câu trả lời hữu ích nhé!
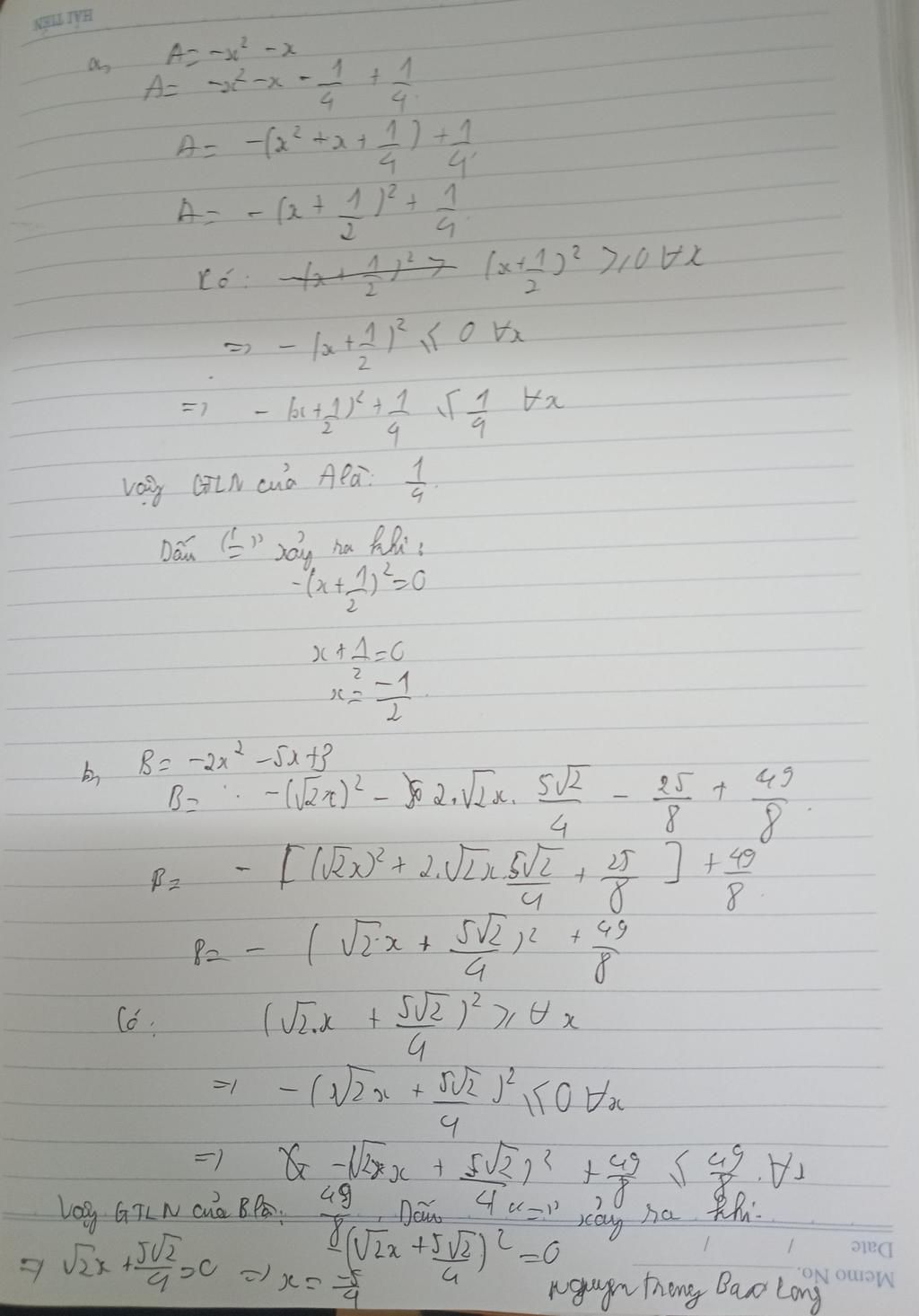
`a)` Ta có:
`A=-x^2-x`
`=-(x^2+x+1/4)+1/4`
`=-[x^2+2*x*1/2+(1/2)^2]+1/4`
`=-(x+1/2)^2+1/4`
Vì: `-(x+1/2)^2<=0\AAx`
`->-(x+1/2)^2+1/4<=1/4\AAx`
Dấu "=" xảy ra: `x+1/2=0`
`->x=-1/2`
Vậy: GTLN của `A` là `1/4` khi `x=-1/2`
`b)B=-2x^2-5x+3`
`=-2(x^2+5/2x)+3`
`=-2(x^2+5/2x+25/16-25/16)+3`
`=-2(x+5/4)^2+25/8+3`
`=-2(x+5/4)^2+49/8`
Vì: `-2(x+5/4)^2<=0\AAx`
`->-2(x+5/4)^2+49/8<=49/8\AAx`
Dấu "=" xảy ra: `x+5/4=0`
`->x=-5/4`
Vậy: GTLN của `B` là `49/8` khi `x=-5/4`
Hãy giúp mọi người biết câu trả lời này thế nào?

Bảng tin