

Hãy luôn nhớ cảm ơn và vote 5*
nếu câu trả lời hữu ích nhé!
Đáp án+Giải thích các bước giải:
Bài làm:
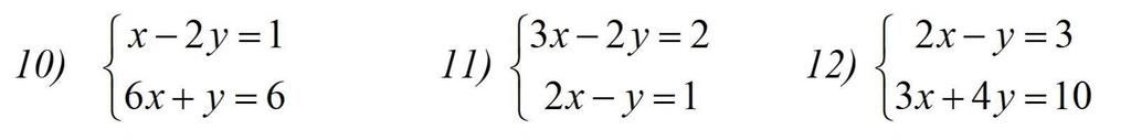
`10)`
`{(x-2y=1),(6x+y=6):}`
`->{(6x-12y=6),(6x+y=6):}`
`->{(-13y=0),(6x+y=6):}`
`->{(y=0),(x=1):}`
Vậy....
`11)`
`{(3x-2y=2),(2x-y=1):}`
`->{(3x-2y=2),(4x-2y=2):}`
`->{(x=0),(y=-1):}`
`12)`
`{(2x-y=3),(3x+4y=10):}`
`->{(8x-4y=12),(3x+4y=10):}`
`->{(11x=22),(3x+4y=10):}`
`->{(x=2),(y=1):}`
$\begin{array}{c} \color{#FFA500}{\texttt{#$\begin{array}{c} \color{#00FF00}{N}\color{#FF0033}{h}\color{#0000FF}{a}\color{#FFFFE0}{n}\color{#97FFFF}{6}\color{#338d11}{9}\color{#FFFF00}{7} \end{array}$}} \end{array}$
CHÚC BẠN HỌC TỐT
Tham khảo bài tui nheeeeeeeeee
Hãy giúp mọi người biết câu trả lời này thế nào?

10,$\left \{ {{x-2y=1} \atop {6x+y=6}} \right.$
$\left \{ {{x-2y=1} \atop {12x+2y=12}} \right.$
$\left \{ {{13x=13} \atop {x-2y=1}} \right.$
$\left \{ {{x=1} \atop {1-2y=1}} \right.$
$\left \{ {{y=0} \atop {x=1}} \right.$
vậy.....
11,$\left \{ {{3x-2y=2} \atop {2x-y=1}} \right.$
$\left \{ {{3x-2y=2} \atop {4x-2y=2}} \right.$
$\left \{ {{x=0} \atop {0-y=1}} \right.$
$\left \{ {{y=-1} \atop {x=0}} \right.$
vậy.....
12,$\left \{ {{2x-y=3} \atop {3x+4y=10}} \right.$
$\left \{ {{8x-4y=12} \atop {3x+4y=10}} \right.$
$\left \{ {{11x=22} \atop {2x-y=3}} \right.$
$\left \{ {{x=2} \atop {4-y=3}} \right.$
$\left \{ {{y=1} \atop {x=2}} \right.$
vậy....
Hãy giúp mọi người biết câu trả lời này thế nào?

Bảng tin