

Hãy luôn nhớ cảm ơn và vote 5*
nếu câu trả lời hữu ích nhé!
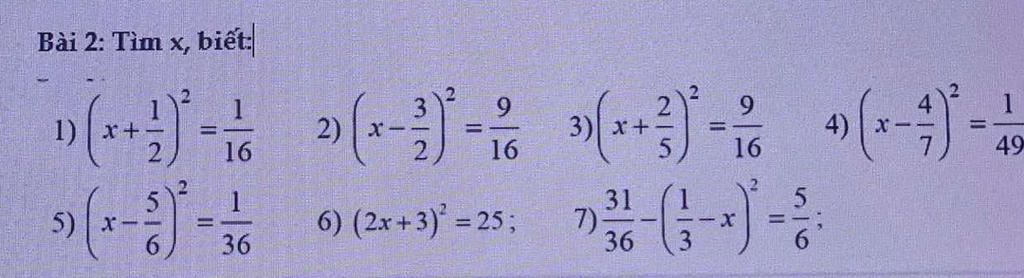
Bài `2`
`1)`
`(x+1/2)^2=1/16`
`=>x+1/2=+-1/4`
`=>x=-1/4` hoặc `x=-3/4`
`2)`
`(x-3/2)^2=9/16`
`=>x-3/2=+-3/4`
`=>x=9/4` hoặc `x=3/4`
`3)`
`(x+2/5)^2=9/16`
`=>x+2/5=+-3/4`
`=>x=7/20` hoặc `x=-23/20`
`4)`
`(x-4/7)^2=1/49`
`=>x-4/7=+-1/7`
`=>x=5/7` hoặc `x=3/7`
`5)`
`(x-5/6)^2=1/36`
`=>x-5/6=+-1/6`
`=>x=1`hoặc `x=4/6=2/3`
`6)`
`(2x+3)^2=25`
`=>2x+3=+-5`
`=>2x=2`hoặc `2x=-8`
`=>x=1` hoặc `x=-4`
`7)`
`31/36-(1/3-x)^2=5/6`
`=>-(1/3-x)^2=5/6-31/36`
`=>-(1/3-x)^2=-1/36`
`=>(1/3-x)^2=1/36`
`=>1/3-x=+-1/6`
`=>-x=-1/6` hoặc `-x=-1/2`
`=>x=1/6` hoặc `x=1/2`
Hãy giúp mọi người biết câu trả lời này thế nào?
Đáp án `+` Giải thích các bước giải:
`1) (x + 1/2)^2 = 1/16`
`(x + 1/2)^2 = (1/4)^2 = (-1/4)^2`
`=> {(x + 1/2 = 1/4),(x + 1/2 = -1/4):}`
`=> {(x = -1/4),(x = -3/4):}`
Vậy `x \in {-1/4 ; -3/4}`
`\text{}`
`2) (x - 3/2)^2 = 9/16`
`(x - 3/2)^2 = (3/4)^2 = (-3/4)^2`
`=> {(x - 3/2 = 3/4),(x - 3/2 = -3/4):}`
`=> {(x = 9/4),(x = 3/4):}`
Vậy `x \in {9/4 ; 3/4}`
`\text{}`
`3) (x + 2/5)^2 = 9/16`
`(x + 2/5)^2 = (3/4)^2 = (-3/4)^2`
`=> {(x + 2/5 = 3/4),(x + 2/5 = -3/4):}`
`=> {(x = 7/20),(x = -23/20):}`
Vậy `x \in {7/20 ; -23/20}`
`\text{}`
`4) (x - 4/7)^2 = 1/49`
`(x - 4/7)^2 = (1/7)^2 = (-1/7)^2`
`=> {(x - 4/7 = 1/7),(x - 4/7 = -4/7):}`
`=> {(x = 5/7),(x = 3/7):}`
Vậy `x \in {5/7 ; 3/7}`
`\text{}`
`5) (x - 5/6)^2 = 1/36`
`(x - 5/6)^2 = (1/6)^2 = (-1/6)^2`
`=> {(x - 5/6 = 1/6),(x - 5/6 = -1/6):}`
`=> {(x = 1),(x = 2/3):}`
Vậy `x \in {1 ; 2/3}`
`\text{}`
`6)` `(2x + 3)^2 = 25`
`(2x + 3)^2 = 5^2 = (-5)^2`
`=> {(2x + 3 = 5),(2x + 3 = -5):}`
`=> {(2x = 2),(2x = -8):}`
`=> {(x = 1),(x = -4):}`
Vậy `x \in {1 ; -4}`
`\text{}`
`7) 31/36 - (1/3 - x)^2 = 5/6`
`(1/3 - x)^2 = 1/36`
`(1/3 - x)^2 = (1/6)^2 = (-1/6)^2`
`=> {(1/3 - x = 1/6),(1/3 - x = -1/6):}`
`=> {(x = 1/6),(x = 1/2):}`
Vậy `x \in {1/6 ; 1/2}`
`color{#CC33FF}{K}color{#CC33CC}{a}color{#CC3399}{m}color{#CC3366}{a}color{#993366}{d}color{#993399}{o}` `color{#9933CC}{N}color{#9933FF}{e}color{#6633FF}{z}color{#6633CC}{u}color{#663399}{k}color{#663366}{o}` `color{#333366}{c}color{#333399}{u}color{#3333CC}{t}color{#3333FF}{e}`
Hãy giúp mọi người biết câu trả lời này thế nào?
Bảng tin