

Giúp mình với ạ
Giải theo cách phương pháp toạ độ phương trình mặt phẳng cũng được ạ
Nếu giải bình thường+ phương pháp toạ độ phương trình mặt phẳng càng tốt ạ️
Hãy luôn nhớ cảm ơn và vote 5*
nếu câu trả lời hữu ích nhé!
Đáp án + Giải thích các bước giải:
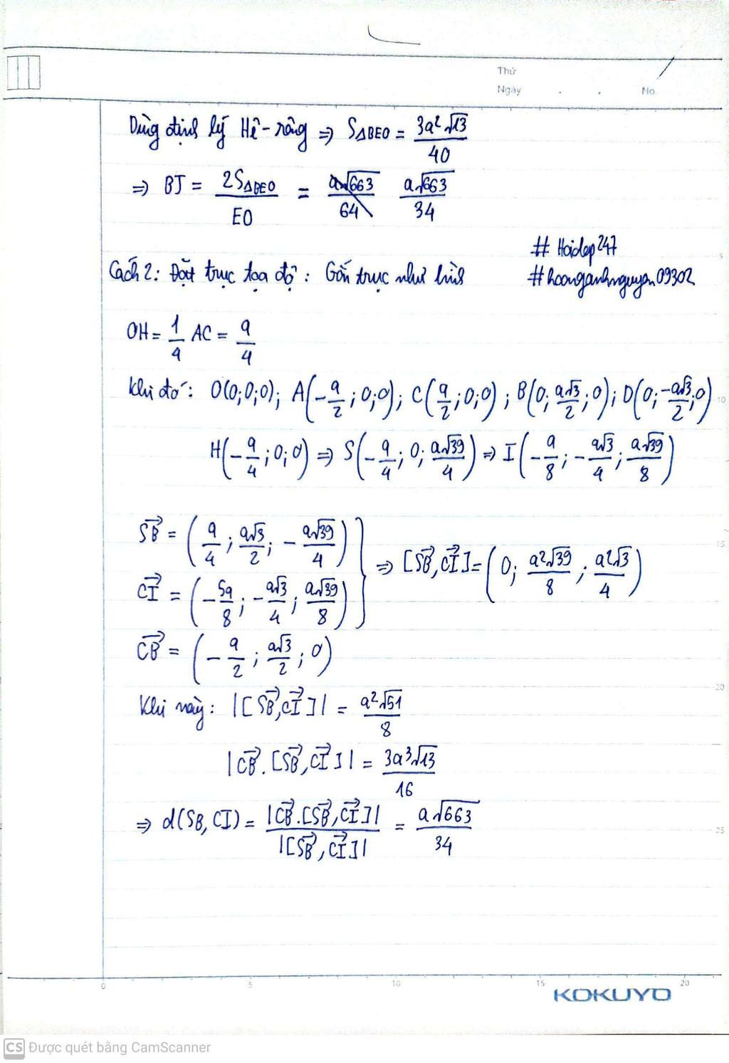
Đặt hình chóp $S.ABCD$ vào hệ trục toạ độ $Oxyz$ sao cho tâm $O$ của hình chóp trùng với gốc toạ độ, tia $OB$ trùng với phần dương của trục hoành, tia $OA$ trùng với phần dương của trục tung, trục cao song song với $SH$ như ảnh dưới
Ta có: $ABCD$ là hình thoi với $\widehat{ABC} = 60^\circ$
$\Rightarrow \triangle ABC$ là tam giác đều
$\Rightarrow \begin {cases} AC = a \\ OB = OD = \dfrac{a\sqrt{3}}{2}\end {cases}$
$\Rightarrow A\bigg(0; \dfrac{a}{2}; 0\bigg), B \bigg(\dfrac{a\sqrt{3}}{2}; 0; 0\bigg), C\bigg(0; -\dfrac{a}{2}; 0\bigg), D\bigg(-\dfrac{a\sqrt{3}}{2}; 0; 0\bigg)$
$\Rightarrow H \bigg(0; \dfrac{a}{4}; 0\bigg)$
$\Rightarrow BH = \dfrac{a\sqrt{13}}{4}$
Ta có: $SH \bot (ABCD) \Rightarrow BH$ là hình chiếu của $SB$ lên $(ABCD)$
$\Rightarrow (SB, (ABC)) = \widehat{SBH} = 60^\circ$
$\Rightarrow SH = BH \tan 60^\circ = \dfrac{a\sqrt{39}}{4}$
$\Rightarrow S\bigg(0; \dfrac{a}{4}; \dfrac{a\sqrt{39}}{4}\bigg)$
$\Rightarrow I\bigg(-\dfrac{a\sqrt{3}}{4}; \dfrac{a}{8}; \dfrac{a\sqrt{39}}{8}\bigg)$
$\Rightarrow \begin {cases} \overrightarrow{SB} = \bigg(\dfrac{a\sqrt{3}}{2}; -\dfrac{a}{4}; -\dfrac{a\sqrt{39}}{4}\bigg) \\ \overrightarrow{CI} = \bigg(-\dfrac{a\sqrt{3}}{4}; \dfrac{5a}{8}; \dfrac{a\sqrt{39}}{8}\bigg) \end {cases}$
$\Rightarrow [\overrightarrow{SB}, \overrightarrow{CI}] = \bigg(\dfrac{a^2\sqrt{39}}{8}; 0; \dfrac{a^2\sqrt{3}}{4}\bigg)$
$\Rightarrow |[\overrightarrow{SB}, \overrightarrow{CI}]| = \dfrac{a^2\sqrt{51}}{8}$
Mà $\overrightarrow{CB} = \bigg(\dfrac{a\sqrt{3}}{2}; \dfrac{a}{2}; 0\bigg)$
$\Rightarrow \overrightarrow{CB} \cdot [\overrightarrow{SB}, \overrightarrow{CI}] = \dfrac{a^3\sqrt{117}}{16}$
$\Rightarrow d(SB, CI) = \dfrac{|\overrightarrow{CB} \cdot [\overrightarrow{SB}, \overrightarrow{CI}]|}{|[\overrightarrow{SB}, \overrightarrow{CI}]|} = \dfrac{\frac{a^3\sqrt{117}}{16}}{\frac{a^2\sqrt{51}}{8}} = \dfrac{a^3\sqrt{117}}{2a^2\sqrt{51}} = \dfrac{a\sqrt{663}}{34}$
Hãy giúp mọi người biết câu trả lời này thế nào?

:)) ủa
$I$ là trung điểm $CD$ mà
à đọc lộn rồi
t đọc lộn thành trung điểm $CD$:))
Mình cảm ơn nhiều ạ
Trước e có đặt gốc O ở A, Ox ở B, đặt C=(x;y;0) xog cho AC^2=BC^2 xog tính ra toạ độ C = (a/2;a√3/2;0) lận.Nếu ăn đặt toạ độ như thế thì có hợp lí không ạ
Nó vẫn tính ra xấp xỉ 0,7 thôi ạ
đặt trục như nào cũng vẫn ra được kết quả nhưng mình nên đặt vào chỗ nào mà có `2` đường vuông góc cắt nhau ấy, như thế dễ tính hơn
Bảng tin
0
194
0
Mình cảm ơn nh ạ 🥹🥹🥹