

Hãy luôn nhớ cảm ơn và vote 5*
nếu câu trả lời hữu ích nhé!
`@` Angelmare
Đáp án:
`{(2/x=(1,6)/y),((1,8)/x+1/10=(1,8)/y):}` `(x;y ne 0)`
`{(1/x-(0,8)/y=0),(1/x-1/y=-1/18):}`
`{((0,2)/y=1/18),(1/x-1/y=-1/18):}`
`{(y=18/5(tm)),(x=9/2(tm)):}`
Vậy hpt có nghiệm `(4,5;3,6)`
*Bổ sung ảnh do tus không nhìn được.
Hãy giúp mọi người biết câu trả lời này thế nào?
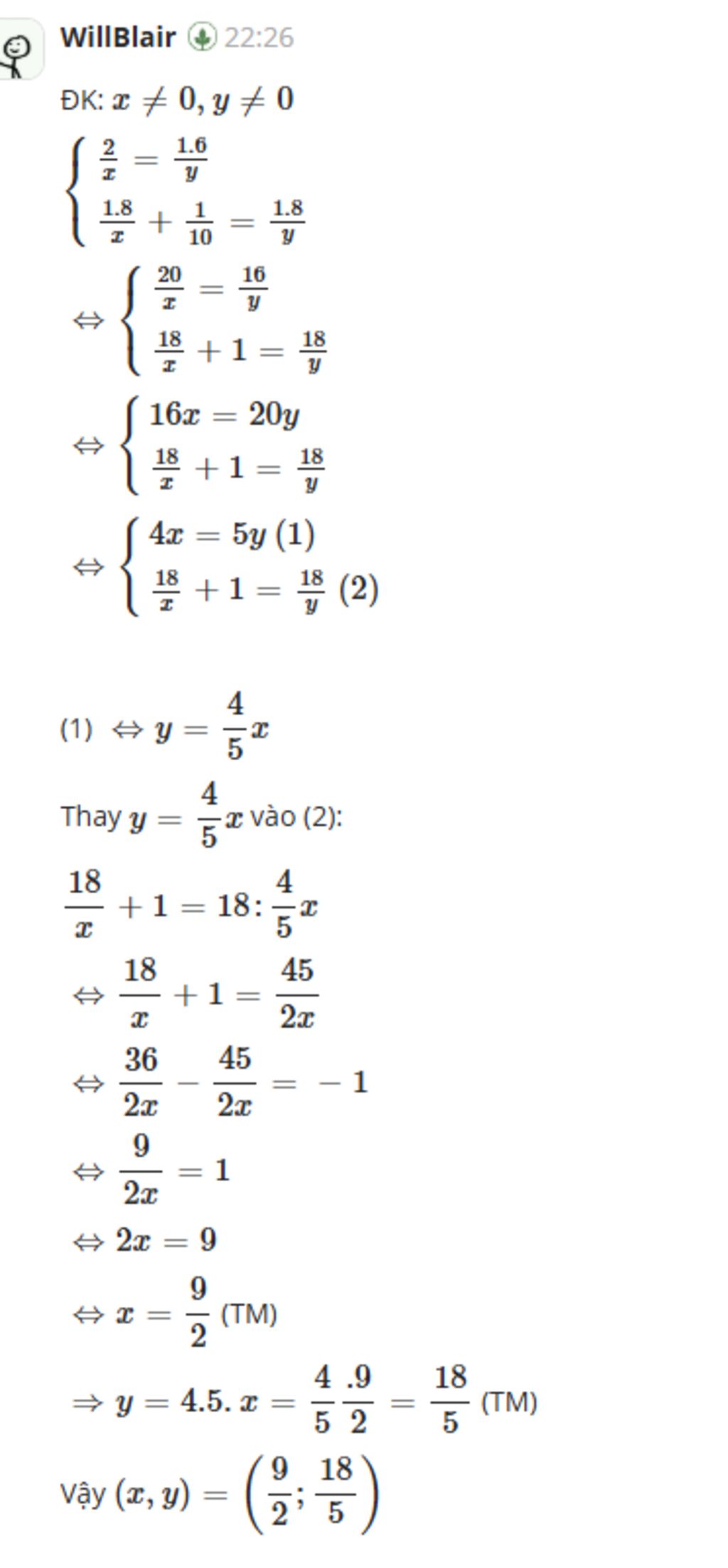
ĐK: `x ne 0,y ne0`
`{(2/x=(1.6)/y),((1.8)/x+1/10=(1.8)/y):}`
`<=>{(20/x=16/y),(18/x+1=18/y):}`
`<=>{(16x=20y),(18/x+1=18/y):}`
`<=>{(4x=5y\ (1)),(18/x+1=18/y\ (2)):}`
(1) `<=>y=4/5x`
Thay `y=4/5x` vào (2):
`18/x+1=18 : 4/5 x`
`<=>18/x+1=45/(2x)`
`<=>36/(2x)-45/(2x)=-1`
`<=>9/(2x)=1`
`<=>2x=9`
`<=>x=9/2` (TM)
`=>y=4.5 . x = 4/5 .9/2=18/5` (TM)
Vậy `(x,y)=(9/2 ;18/5)`
Hãy giúp mọi người biết câu trả lời này thế nào?
Bảng tin
24
179
8
Bạn có thể chụp bài làm của bạn đc k bên mình k latex đc
1688
20
534
Chụp vở hả bạn?