

Hãy luôn nhớ cảm ơn và vote 5*
nếu câu trả lời hữu ích nhé!
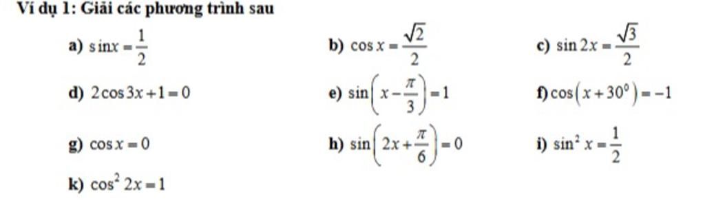
`a)sinx=1/2`
`<=>sinx=sin(pi/6)`
`<=>x=pi/6+k2pi` hoặc `x=pi-pi/6+k2pi=(5pi)/6+k2pi(k\inZ)`
Vậy: `...`
`b)cosx=\sqrt{2}/2`
`<=>cosx=cos(pi/4)`
`<=>x=pi/4+k2pi` hoặc `x=-pi/4+k2pi(k\inZ)`
Vậy: `...`
`c)sin2x=\sqrt{3}/2`
`<=>sin2x=sin(pi/3)`
`<=>2x=pi/3+k2pi` hoặc `2x=pi-pi/3+k2pi=(2pi)/3+k2pi(k\inZ)`
`<=>x=pi/6+kpi` hoặc `x=pi/3+kpi(k\inZ)`
Vậy: `...`
`d)2cos3x+1=0`
`<=>cos3x=-1/2`
`<=>cos3x=cos((2pi)/3)`
`<=>3x=(2pi)/3+k2pi` hoặc `3x=-(2pi)/3+k2pi(k\inZ)`
`<=>x=(2pi)/9+(k2pi)/3` hoặc `x=(-2pi)/9+(k2pi)/3(k\inZ)`
Vậy: `...`
`e)sin(x-pi/3)=1`
`<=>x-pi/3=pi/2+k2pi(k\inZ)`
`<=>x=pi/2+pi/3+k2pi(k\inZ)`
`<=>x=(5pi)/6+k2pi(k\inZ)`
Vậy: `...`
`f)cos(x+30^o)=-1`
`<=>x+30^o=180^o+k360^o(k\inZ)`
`<=>x=180^o-30^o+k360^o(k\inZ)`
`<=>x=150^o+k360^o(k\inZ)`
Vậy: `...`
`g)cosx=0`
`<=>x=pi/2+kpi(k\inZ)`
Vậy: `..`
`h)sin(2x+pi/6)=0`
`<=>2x+pi/6=kpi(k\inZ)`
`<=>2x=-pi/6+kpi(k\inZ)`
`<=>x=-pi/12+(kpi)/2(k\inZ)`
Vậy: `...`
`i)sin^2x=1/2`
`TH1:sinx=\sqrt{2}/2`
`<=>sinx=sin(pi/4)`
`<=>x=pi/4+k2pi` hoặc `x=(3pi)/4+k2pi(k\inZ)`
`TH2:sinx=-\sqrt{2}/2`
`<=>sinx=sin(-pi/4)`
`<=>x=-pi/4+k2pi` hoặc `x=(5pi)/4+k2pi(k\inZ)`
Vậy: `...`
`k)cos^2 2x=1`
`TH1:cos2x=1`
`<=>2x=k2pi(k\inZ)`
`<=>x=kpi(k\inZ)`
`TH2:cos2x=-1`
`<=>2x=pi+k2pi(k\inZ)`
`<=>x=pi/2+kpi(k\inZ)`
Vậy: `...`
Hãy giúp mọi người biết câu trả lời này thế nào?

Bảng tin