

Hãy luôn nhớ cảm ơn và vote 5*
nếu câu trả lời hữu ích nhé!
Đáp án`+`Giải thích các bước giải:
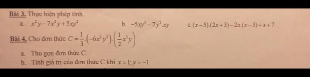
Bài 3:
a) `x^2y - 7x^2y + 5xy^2`
`= (1 - 7)x^2y + 5xy^2`
`= -6x^2y + 5xy^2`
b) `-5xy^3 - 7y^2 . xy`
`= -5xy^3 - 7xy^3`
`= (-5 - 7)xy^3`
`= -12xy^3`
c) `(x + 5) (2x + 3) - 2x (x - 3) + x + 7`
`= 2x^2 + 10x + 3x + 15 - 2x^2 + 6x + x + 7`
`= (2x^2 - 2x^2) + (10x + 3x + 6x + x) + (15 + 7)`
`= 20x + 22`
Bài 4:
a) `C = 1/3 . (-6x^2y^2) . (1/2x^3y)`
`C = (1/3 . -6 . 1/2) (x^2 . x^3) (y^2 . y)`
`C = -x^5y^3`
b) Thay `x = 1; y = -1` vào ta được:
`C = -1^5 . (-1)^3`
`C = 1`
Vậy `C = 1`
꧁$\color{#1c1c1c}{\text{G}}$$\color{#2a2043}{\text{o}}$$\color{#291063}
{\text{d}}$$\color{#53008}{\text{M}}$$\color{#6b28ac}
{\text{a}}$$\color{#8c4ebd}{\text{t}}$$\color{#B592D6}
{\text{h}}$$\color{#ceaedf}{\text{s}}$꧂
Hãy giúp mọi người biết câu trả lời này thế nào?
Đáp án + Giải thích các bước giải:
Bài `3`
`a) x^2y - 7x^2y + 5xy^2`
`= -6x^2y + 5xy^2`
`b) -5xy^3 - 7y^2 . xy`
`= -5xy^3 - 7xy^3`
`= -12xy^3`
`c) (x - 5)(2x + 3) - 2x(x - 3) + x + 7`
`= 2x^2 + 3x - 10x - 15 - 2x^2 + 6x + x + 7`
`= (2x^2 - 2x^2) + (3x - 10 + 6x + x) + (-15 + 7)`
`= -8`
Bài `4`
`a) C = 1/3 . (-6x^2y^2) . (1/2x^3y)`
`C = (-6 . 1/3 . 1/2) . (x^2 . x^3) . (y^2 . y)`
`C = -x^5y^3`
`b)` Thay `x = 1 ; y = -1` vào `C`
`C = - 1^5 . (-1)^3`
`C = - 1 . (-1)`
`C = 1`
Hãy giúp mọi người biết câu trả lời này thế nào?

Bảng tin