

Tại sao ông trời đã sinh ra toán rồi còn sinh ra tooiii TcT
Hãy luôn nhớ cảm ơn và vote 5*
nếu câu trả lời hữu ích nhé!
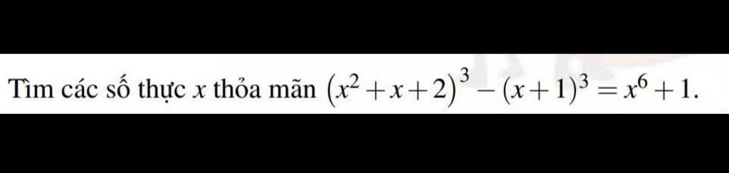
`( x^2 + x + 2 )^3 - ( x + 1 )^3 = x^6 + 1`
`( x^2 + x + 2 - x - 1 )[ ( x^2 + x + 2 )^2 + ( x^2 + x + 2 )( x + 1 ) + ( x + 1 )^2 ] = ( x^2 + 1 )( x^4 - x^2 + 1 )`
`( x^2 + 1 )[( x^4 + x^2 + 4 + 2x^3 + 4x^2 + 4x )+( x^3 + x^2 + 2x + x^2 + x + 2 ) + ( x^2 + 2x + 1 )] = (x^2 + 1 )( x^4 - x^2 + 1 )`
`x^4 + 2x^3 + 5x^2 + 4x + 4 + x^3 + 2x^2 + 3x + 2 + x^2 + 2x + 1 = x^4 - x^2 + 1`
`( x^4 - x^4 ) + ( 2x^3 + x^3 ) + ( 5x^2 + 2x^2 + x^2 + x^2 ) + ( 4x + 3x + 2x ) + ( 4 + 2 + 1 - 1 ) = 0`
`3x^3 + 9x^2 + 9x + 6 = 0`
`x^3 + 3x^2 + 3x + 2 = 0`
`( x + 1 )^3 = -1`
`x + 1 = -1`
`x = -2`
`Vậy x = -2`
Hãy giúp mọi người biết câu trả lời này thế nào?

`(x^2 + x + 2)^3 - (x + 1)^3 = x^6 + 1`
`=> (x^2 + x + 2)^3 - (x^2)^3 = (x + 1)^3 + 1^3`
`VT = [(x^2 + x + 2) - x^2][(x^2 + x + 2)^2 + x^2(x^2 + x + 2) + (x^2)^2]`
`VT = (x + 2)[(x^2 + x + 2)^2 + x^2(x^2 + x + 2) + x^4]`
`VP = [(x + 1) + 1][(x + 1)^2 - (x + 1) * 1 + 1^2]`
`VP = (x + 2)(x^2 + 2x + 1 - x - 1 + 1)`
`VP = (x + 2)(x^2 + x + 1)`
Phương trình trở thành:
`(x + 2)[(x^2 + x + 2)^2 + x^2(x^2 + x + 2) + x^4] = (x + 2)(x^2 + x + 1)`
`=> (x + 2)[(x^2 + x + 2)^2 + x^2(x^2 + x + 2) + x^4 - (x^2 + x + 1)] = 0`
`=>[ (x + 2 = 0), ((x^2 + x + 2)^2 + x^4 + x^3 + 2x^2 - x^2 - x - 1 = 0):}`
Trường hợp 1: `x + 2 = 0 <=> x = -2`
Trường hợp 2: `(x^2 + x + 2)^2 + x^4 + x^3 + x^2 - x - 1 = 0`
`=> (x^4 + x^2 + 4 + 2x^3 + 4x^2 + 4x) + x^4 + x^3 + x^2 - x - 1 = 0`
`=> 2x^4 + 3x^3 + 6x^2 + 3x + 3 = 0`
Phương trình này vô nghiệm vì:
`2x^4 + 3x^3 + 6x^2 + 3x + 3`
`= 2(x^4 + 3/2 x^3 + 3x^2 + 3/2 x + 3/2)`
`= 2[ (x^4 + 2x^2 + 3/2) + (3/2 x^3 + x^2 + 3/2 x) ]`
`= 2[ (x^2+1)^2 + 3/2 + 3/2 x(x^2+1) + x^2 ]`
`= 2[ (x^2+1)^2 + 3/2 x(x^2+1) + (3/4 x)^2 - (3/4 x)^2 + x^2 + 3/2 ]`
`= 2[ (x^2+1 + 3/4 x)^2 + 7/16 x^2 + 3/2 ] > 0 AA x`
Vậy phương trình có nghiệm duy nhất `x = -2`
Hãy giúp mọi người biết câu trả lời này thế nào?

Ck giỏi Toán v ạ 🤤
cũng tạm tạm thôi a
ko bằng mấy idol đâu
Bằng tuổi mà sao c giỏi thế :vvv, còn t dốt như bò
Bảng tin