Vui lòng chỉ chọn một câu hỏi
Hoidap247.com Nhanh chóng, chính xác
+
Danh mục mới
296
684
667
Chỉ cần rút gọn thôi nha
Hãy luôn nhớ cảm ơn và vote 5* nếu câu trả lời hữu ích nhé!
685
11540
474
Đáp án:
Giải thích các bước giải:
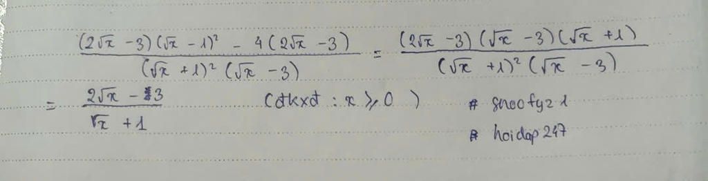
`M=((2√x-3)(√x-1)^2-4(2√x-3))/((√x+1)^2(√x-3))`
`M=((2√x-3)(√x-1-2)(√x-1+2))/((√x+1)^2(√x-3))`
`M=((2√x-3)(√x-3)(√x+1))/((√x+1)^2(√x-3))`
`M=(2√x-3)/(√x+1)`
#nhism.
Hãy giúp mọi người biết câu trả lời này thế nào?
Xem thêm:
202
3551
57
// Tham khảo //
Bài làm trong ảnh.
2 căn x -3 mà cậu
uê, từ tớ sửa :))
nhanh qs ẩu
Bảng tin
Gửi yêu cầu Hủy