

giúp em vs ạaaaaaaaaaaaa
Hãy luôn nhớ cảm ơn và vote 5*
nếu câu trả lời hữu ích nhé!
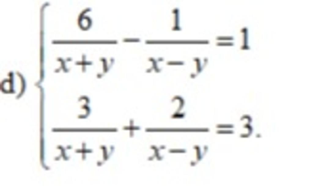
Gọi `1/(x+y)=a`
`1/(x-y)=b`
Với `a;bne0;xne+-y`
Ta có `:`
`{(6a-b=1),(3a+2b=3):}`
`{(6a-b=1),(6a+4b=6):}`
`{(5b=5),(6a-b=1):}`
`{(b=1),(a=1/3):}` Thỏa mãn
`->1/(x-y)=1` và `1/(x+y)=1/3`
`->x-y=1` và `x+y=3`
`->{(x-y=1),(x+y=3):}`
`->{(2x=4),(x-y-1):}`
`->{(x=2),(y=1):}` Thỏa mãn
Vậy `(x;y)` là `(2;1)`
Hãy giúp mọi người biết câu trả lời này thế nào?
Đáp án + Giải thích các bước giải:
Đặt `1/(x+y) = a, 1/(x-y) = b`
Ta có :
`{(6a-b = 1),(3a+2b = 3):}`
`{(12a - 2b = 2),(3a+2b = 3):}`
Cộng từng vế `2` phương trình được :
`15a = 5`
`a = 1/3`
`=> 1/(x+y) = 1/3`
`=> x +y =3(1)`
Thay `a=1/3` vào phương trình `6a-b=1` được :
`6*1/3 - b = 1`
`2 - b = 1`
`b = 1`
`=> 1/(x-y) = 1`
`=> x - y = 1``(2)`
`(1)(2) => {(x-y= 1),(x+y= 3):}`
Cộng từng vế `2` phương trình được :
`2x = 4`
`x =2`
Thay vào `x - y = 1` có :
`2-y = 1`
`y = 1`
Vậy `(x,y) = (2,1)`
Hãy giúp mọi người biết câu trả lời này thế nào?
Bảng tin
105
457
145
content ko thiếu
129
35
115
=))
105
457
145
=))
129
35
115
2k6 mập mờ vs 2k11, r 2k6 tự đăng tin đính chính còn 2k11chối biến :))
129
35
115
=))
129
35
115
ms hóg dc cái drama này nè
129
35
115
:))
105
457
145
=)) ukm