

Hãy luôn nhớ cảm ơn và vote 5*
nếu câu trả lời hữu ích nhé!
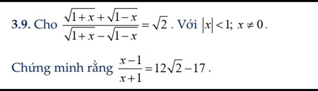
Đáp án: `+` Giải thích các bước giải:
Đặt \( a = \sqrt{1 + x} \), \( b = \sqrt{1 - x} \) với \( |x| < 1 \) và \( x \neq 0 \). Khi đó:
`a^2 + b^2 = 2, a^2 - b^2 = 2x, ab = \sqrt{1 - x^2}`
Từ phương trình đã cho:
`\frac{a + b}{a - b} = \sqrt{2}`
`\Rightarrow a + b = \sqrt{2}(a - b)`
`\Rightarrow a(1 - \sqrt{2}) = -b(1 + \sqrt{2})`
`\Rightarrow \frac{a}{b} = \frac{1 + \sqrt{2}}{1 - \sqrt{2}} = - (1 + \sqrt{2})^2 = -3 - 2\sqrt{2}`
`=> \frac{a^2}{b^2} = \frac{1 + x}{1 - x} = (3 + 2\sqrt{2})^2 = 17 + 12\sqrt{2}`
`=> \Rightarrow \frac{1 + x}{1 - x} = 17 + 12\sqrt{2}`
Giải phương trình:
`1 + x = (17 + 12\sqrt{2})(1 - x)`
`1 + x = 17 + 12\sqrt{2} - 17x - 12\sqrt{2}x`
`18x + 12\sqrt{2}x = 16 + 12\sqrt{2}`
`x(18 + 12\sqrt{2}) = 16 + 12\sqrt{2}`
`x = \frac{2(4 + 3\sqrt{2})}{3(3 + 2\sqrt{2})}`
`x = \frac{2(4 + 3\sqrt{2})(3 - 2\sqrt{2})}{3(9 - 8)}`
`x = \frac{2\sqrt{2}}{3}`
Suy ra, ta có: `\frac{\frac{2\sqrt{2}}{3} - 1}{\frac{2\sqrt{2}}{3} + 1}`
`= \frac{2\sqrt{2} - 3}{2\sqrt{2} + 3}`
`= \frac{(2\sqrt{2} - 3)(2\sqrt{2} - 3)}{(2\sqrt{2} + 3)(2\sqrt{2} - 3)}`
`= \frac{8 - 12\sqrt{2} + 9}{8 - 9}`
`= \frac{17 - 12\sqrt{2}}{-1}`
`= 12\sqrt{2} - 17(đpcm)`
Hãy giúp mọi người biết câu trả lời này thế nào?
Bảng tin