

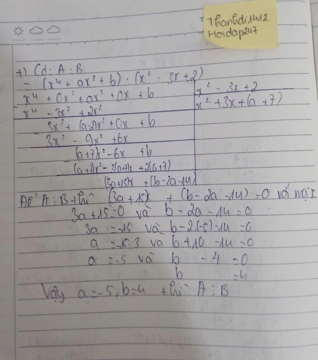
Cho đa thức `A=x^4 +ax^2 +b` . Hãy xác định hệ số `a;b` của đa thức `A` biết `A` chia hết cho đa thức `B=x^2 -3x+2`
Hãy luôn nhớ cảm ơn và vote 5*
nếu câu trả lời hữu ích nhé!
`B=x^2-3x+2`
`=x^2-2x-x+2`
`=x.(x-2)-(x-2)`
`=(x-1).(x-2)`
Để `A \vdots B`
`=>A(1)=0` hoặc `A(2)=0`
Với `A(1):1+a+b=0=>a+b=-1(1)`
Với `A(2):16+4a+b=0=>4a+b=-16(2)`
Lấy `(2)-(1)` ta được `:`
`4a+b-a-b=-16+1`
`=>3a=-15`
`=>a=-5`
thay vào `(1)` ta được `:`
`-5+b=-1`
`=>b=4`
Vậy với `a=-5,b=4` thì `A \vdots B`
Hãy giúp mọi người biết câu trả lời này thế nào?
![]()
Bảng tin