

giải giúp 2 câu này ạ!
Hãy luôn nhớ cảm ơn và vote 5*
nếu câu trả lời hữu ích nhé!
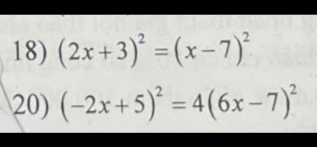
`18)`
`(2x+3)^2=(x-7)^2`
`(2x+3)^2-(x-7)^2=0`
`(2x+3-x+7)(2x+3+x-7)=0`
`(x+10)(3x-4)=0`
`x+10=0` hoặc `3x-4=0`
`x=-10` hoặc `x=4/3`
Vậy `x in {-10;4/3}`
`20)`
`(-2x+5)^2=4(6x-7)^2`
`(-2x+5)^2-[2(6x-7)]^2=0`
`(-2x+5)^2-(12x-14)^2=0`
`(-2x+5-12x+14)(-2x+5+12x-14)=0`
`(-14x+19)(10x-9)=0`
`-14x+19=0` hoặc `10x-9=0`
`-14x=-19` hoặc `10x=9`
`x=19/14` hoặc `x=9/10`
Vậy `x in {19/14;9/10}`
Hãy giúp mọi người biết câu trả lời này thế nào?

`18) (2x + 3)^2 = (x - 7)^2`
`(2x + 3)^2 - (x - 7)^2 = 0`
`(2x + 3 - x + 7)(2x + 3 + x - 7) = 0`
`(x + 10)(3x - 4) = 0`
TH1 `: x + 10 = 0`
`x = -10`
TH2 ` : 3x - 4 = 0`
`3x = 4`
`x = 4/3`
Vậy phương trính có nghiệm `x_1 = -10 , x_2 = 4/3`
`b) (-2x + 5)^2 = 4 . (6x - 7)^2 = 0`
`(-2x + 5)^2 = 2^2 . (6x - 7)^2`
`(-2x + 5)^2 = (12x - 14)^2`
`(12x - 14)^2 - (-2x + 5)^2 = 0`
`(12x - 14 + 2x - 5)(12x - 14 - 2x + 5) = 0`
`(14x - 19)(10x - 9) = 0`
TH1 ` : 14x - 19 = 0`
`14x = 19`
`x = 19/14`
TH2 `: 10x - 9 = 0`
`10x = 9`
`x = 9/10`
Vậy phương trính có nghiệm `x_1 = 19/14 , x_2 = 9/10`
Hãy giúp mọi người biết câu trả lời này thế nào?

Bảng tin
2
358
2
bn ơi câu 20 hàng 2 sao k có dấu = vậy
4983
78667
1764
`=0` nhé