

Hãy luôn nhớ cảm ơn và vote 5*
nếu câu trả lời hữu ích nhé!
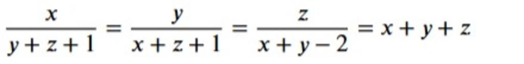
Đáp án:
Giải thích các bước giải:
Áp dụng `t//c` dãy tỉ số bằng nhau ta được `:`
`x/(y+z+1)=y/(x+z+1)=z/(x+y-2)=x+y+z=(x+y+z)/(y+z+1+x+z+1+x+y-2)=(x+y+z)/(2(x+y+z))=1/2`
`to {(y+z+1=2x),(x+z+1=2y),(x+y-2=2z),(x+y+z=1/2):} to {(x+y+z+1=3x),(x+y+z+1=3y),(x+y+z-2=3z),(x+y+z=1/2):}`
`to {(1/2+1=3x),(1/2+1=3y),(1/2-2=3z):}to {(3/2=3x),(3/2=3y),(-3/2=3z):}to {(x=1/2),(y=1/2),(z=-1/2):}`
Vậy `x=1/2;y=1/2;z=-1/2`
Hãy giúp mọi người biết câu trả lời này thế nào?

Đáp án:
Áp dụng tính chất của dãy tỉ số bằng nhau ta có:
`x/(y+z+1) = y/(x+z+1) = z/(x+y-2) = (x+y+z)/(y+z+1+x+z+1+x+y-2) = (x+y+z)/[2*(x+y+z)] = 1/2`
Mà `x/(y+z+1)= x+y+z`
`=>` `x+y+z = 1/2`
`=>` `{(x/(y+z+1) = 1/2 => y+z+1 = 2x),(y/(x+z+1) = 1/2 => x+z+1 = 2y),(z/(x+y-2) = 1/2=> x+y-2 = 2z):}`
`=>` `{(1/2 +1 = 3x),(1/2 +1 = 3y),(1/2 - 2 = 3z):}`
`=>` `{(3/2 = 3x),(3/2 = 3y),((-3)/2 = 3z):}`
`=>` `{(x = 1/2),(y = 1/2),(z = (-1)/2):}`
Vậy `x = y=1/2 , z=(-1)/2`
Hãy giúp mọi người biết câu trả lời này thế nào?
Bảng tin
1683
238
1918
nào trả t chill `1k`
5109
89410
2693
Hết tháng