

Hãy luôn nhớ cảm ơn và vote 5*
nếu câu trả lời hữu ích nhé!
Đáp án:
Giải thích các bước giải:
`d`
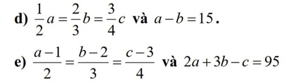
`1/2a=2/3b=3/4c`
`a/2=(2b)/3=(3c)/4`
`to a/2.6=(2b)/3.6=(3c)/4.6`
`to a/12=b/9=c/8`
Áp dụng `t//c` dãy tỉ số bằng nhau ta được `:`
`a/12=b/9=c/8=(a-b)/(12-9)=15/3=5`
Khi đó
`a/12=5 to a=60`
`b/9=5 to b=45`
`c/8=5 to c=40`
Vậy `a=60;b=45;c=40`
`e`
Áp dụng `t//c` dãy tỉ số bằng nhau ta được `:`
`(a-1)/2=(b-2)/3=(c-3)/4=(2(a-1)+3(b-2)-(c-3))/(2*2+3*3-4)=(2a-2+3b-6-a+3)/(4+9-4)=(95-2-6+3)/9=10`
Khi đó
`(a-1)/2=10 to a-1=20 to a=21`
`(b-2)/3=10 to b-2=30 to b=32`
`(c-3)/4 =10` to `c-3=40 to c=43`
Vậy `a=21;b=32;c=43`
Hãy giúp mọi người biết câu trả lời này thế nào?

`bbd)`
Ta có:
`1/2a=2/3b=3/4c`
`a/2=(2b)/3=(3c)/4`
`a/2*1/6=(2b)/3*1/6=(3c)/4*1/6`
`a/12=b/9=c/8`
Hay: `a/12=b/9`
Áp dụng tính chất dãy tỉ số bằng nhau ta được:
`a/12=b/9=(a-b)/(12-9)=15/3=5`
`->a/12=b/9=c/8=5`
Suy ra:
`@a/12=5->a=5*12=60`
`@b/9=5->b=5*9=45`
`@c/8=5->c=5*8=40`
Vậy: `a=60,b=45,c=40`
`e)(a-1)/2=(b-2)/3=(c-3)/4`
Áp dụng tính chất dãy tỉ số bằng nhau ta được:
`(a-1)/2=(b-2)/3=(c-3)/4=(2(a-1)+3(b-2)-(c-3))/(2*2+3*3-4)`
`=(2a-2+3b-6-c+3)/(4+9-4)=((2a+3b-c)-5)/9`
`=(95-5)/9=90/9=10`
Suy ra:
`@(a-1)/2=10`
`a-1=2*10`
`a-1=20`
`a=20+1`
`a=21`
`@(b-2)/3=10`
`b-2=3*10`
`b-2=30`
`b=30+2`
`b=32`
`@(c-3)/4=10`
`c-3=10*4`
`c-3=40`
`c=40+3`
`c=43`
Vậy: `a=21,b=32,c=43`
Hãy giúp mọi người biết câu trả lời này thế nào?
Bảng tin