

Hãy luôn nhớ cảm ơn và vote 5*
nếu câu trả lời hữu ích nhé!

Giải thích các bước giải:
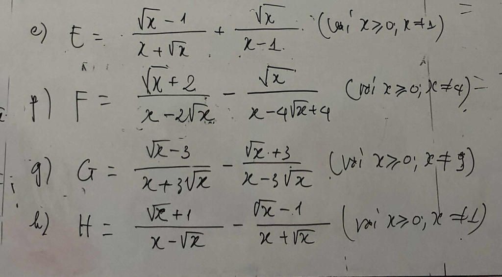
e.Ta có:
$E=\dfrac{\sqrt{x}-1}{x+\sqrt{x}}+\dfrac{\sqrt{x}}{x-1}$
$\to E=\dfrac{\sqrt{x}- 1}{\sqrt{x}(\sqrt{x}+1)}+\dfrac{\sqrt{x}}{(\sqrt{x}-1)(\sqrt{x}+1)}$
$\to E=\dfrac{(\sqrt{x}-1)^2+(\sqrt{x})^2}{\sqrt{x}(\sqrt{x}+1)(\sqrt{x}-1)}$
$\to E=\dfrac{x-2\sqrt{x}+1+x}{\sqrt{x}(\sqrt{x}+1)(\sqrt{x}-1)}$
$\to E=\dfrac{2x-2\sqrt{x}+1}{\sqrt{x}(\sqrt{x}+1)(\sqrt{x}-1)}$
f.Ta có:
$F=\dfrac{\sqrt{x}+2}{x-2\sqrt{x}}-\dfrac{\sqrt{x}}{x-4\sqrt{x}+4}$
$\to F=\dfrac{\sqrt{x}+2}{\sqrt{x}(\sqrt{x}-2)}-\dfrac{\sqrt{x}}{(\sqrt{x}-2)^2}$
$\to F=\dfrac{(\sqrt{x}+2)(\sqrt{x}-2)}{\sqrt{x}(\sqrt{x}-2)^2}-\dfrac{x}{\sqrt{x}(\sqrt{x}-2)^2}$
$\to F=\dfrac{(\sqrt{x}+2)(\sqrt{x}-2)-x}{\sqrt{x}(\sqrt{x}-2)^2}$
$\to F=\dfrac{x-4-x}{\sqrt{x}(\sqrt{x}-2)^2}$
$\to F=\dfrac{-4}{\sqrt{x}(\sqrt{x}-2)^2}$
g.Ta có:
$G=\dfrac{\sqrt{x}-3}{x+3\sqrt{x}}-\dfrac{\sqrt{x}+3}{x-3\sqrt{x}}$
$\to G =\dfrac{(\sqrt{x}-3)^2-(\sqrt{x}+3)^2}{\sqrt{x}(\sqrt{x}+3)(\sqrt{x}-3)}$
$\to G=\dfrac{-12\sqrt{x}}{\sqrt{x}(x-9)}$
$\to G=\dfrac{-12}{x-9}$
h.Ta có:
$H=\dfrac{\sqrt{x}+1}{x-\sqrt{x}}-\dfrac{\sqrt{x}-1}{x+\sqrt{x}}$
$\to H=\dfrac{(\sqrt{x}+1)^2-(\sqrt{x}-1)^2}{\sqrt{x}(\sqrt{x}-1)(\sqrt{x}+1)}$
$\to H=\dfrac{4\sqrt{x}}{\sqrt{x}(x-1)}$
$\to H=\dfrac4{x-1}$
Hãy giúp mọi người biết câu trả lời này thế nào?
Bảng tin