

Hãy luôn nhớ cảm ơn và vote 5*
nếu câu trả lời hữu ích nhé!
Đáp án:
Giải thích các bước giải:
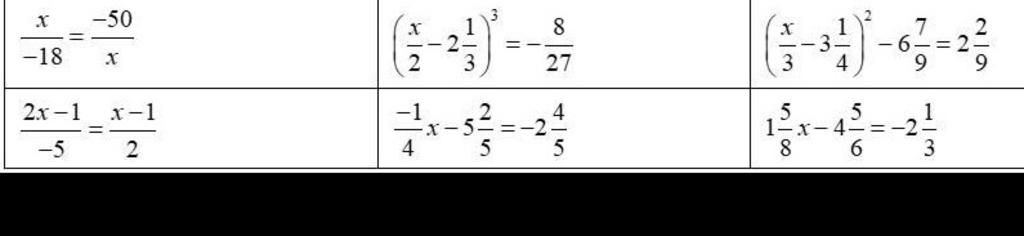
`x/-18 =(-50)/x`
`x*x = (-50)*(-18)`
`x^2 = 900`
`x^2=(+-30)^2`
`x=30` hoặc `x=-30`
Vậy `x in {-30;30}`
``
`(x/2-2 1/3)^2 = -8/27`
`(x/2-7/3)^3 = (-2/3)^3`
`x/2 - 7/3=-2/3`
`x/2 = 5/3`
`x=(5*2)/3`
`x=10/3`
Vậy `x=10/3`
``
`(x/3-3 1/4)^2 - 6 7/9= 2 2/9`
`(x/3 - 13/4)^2 = 9`
`(x/3-13/4)^2=(+-3)^2`
`x/3-13/4=3` hoặc `x/3-13/4 =-3`
`x/3 =25/4` hoặc `x/3=1/4`
`x=(25*3)/4` hoặc `x=3/4`
`x=75/4 ` hoặc `x=3/4`
Vậy `x in {75/4;3/4}`
``
`(2x-1)/(-5)=(x-1)/2`
`2(2x-1)=(-5)(x-1)`
`4x -2 = -5x +5`
`4x+5x=5+2`
`9x=7`
`x=7/9`
Vậy `x=7/9`
``
`(-1)/4x -5 2/5 = -2 4/5`
`-1/4x =- 2 4/5 + 5 2/5`
`-1/4x = 13/5`
`x=-52/5`
Vậy `x=-52/5`
``
`1 5/8 x - 4 5/6 =-2 1/3`
`13/8x - 29/6 = -7/3`
`13/8x = -7/3 + 29/6`
`13/8x= 5/2`
`x=5/2 :13/8`
`x=20/13`
Vậy `x=20/13`
Hãy giúp mọi người biết câu trả lời này thế nào?
![]()
Đáp án:
Giải thích các bước giải:
`a)`
` x/(- 18) = (- 50)/x `
` x * x = ( - 18 ) * ( - 50 ) `
` x^2 = 900 `
` x^2 = ( +- 30 )^2`
` x = 30 ` hoặc `x = - 30`
Vậy ` x = 30 ` hoặc ` x = - 30`
``
`b)`
` ( x/2 - 2 1/3 )^3 = - 8/27 `
` ( x/2 - 2 1/3 )^3 = ( - 2/3 )^3 `
` x/2 - 2 1/3 = - 2/3 `
` x/2 = - 2/3 + 2 1/3 `
` x/2 = 5/3 `
` x = 10/3 `
Vậy ` x = 10/3 `
``
c)`
` ( x/3 - 3 1/4 )^2 - 6 7/9 = 2 2/9 `
` ( x/3 - 3 1/4 )^2 = 2 2/9 + 6 7/9 `
` ( x/3 - 3 1/4 )^2 = 9 `
` ( x/3 - 3 1/4 )^2 = ( +- 3 )^ 2 `
` x/3 - 3 1/4 = 3` hoặc `x/3 - 3 1/4 = - 3 `
``
`TH1`
` x/3 - 3 1/4 = 3 `
` x/3 = 25/4 `
` x = 75/4 `
``
`TH2`
` x/3 - 3 1/4 = - 3 `
` x/3 = - 3 + 3 1/4 `
` x/3 = 1/4 `
`x = 3/4 `
Vậy `x = 75/4` hoặc `x = 3/4 `
``
`d)`
` (2x - 1)/(- 5) = (x - 1)/2 `
` 2 ( 2x - 1 ) = - 5 ( x - 1 ) `
` 4x - 2 = - 5x + 5 `
` 4x + 5x = 5 + 2 `
` 9x = 7 `
` x = 7/9`
Vậy ` x = 7/9`
``
e)`
` - 1/4x - 5 2/5 = - 2 4/5 `
` - 1/4x = - 2 4/5 + 5 2/5 `
` - 1/4x = 13/5 `
` x = 13/5 : ( - 1/4 ) `
` x = - 52/5 `
Vậy ` x = - 52/5`
``
`f)`
` 1 5/8x - 4 5/6 = - 2 1/3 `
` 1 5/8x = - 2 1/3 + 4 5/6 `
` 1 5/8x = 5/2 `
` x = 20/13 `
Vậy ` x = 20/13 `
Hãy giúp mọi người biết câu trả lời này thế nào?
Bảng tin
5110
89445
2695
sai đâu nhắc trc ạ
0
10
0
Cảm ơn ạ
5110
89445
2695
vgg
2035
14640
1417
hình nhưu e sai ở câu thứ `3` hay sao á