

Hãy luôn nhớ cảm ơn và vote 5*
nếu câu trả lời hữu ích nhé!
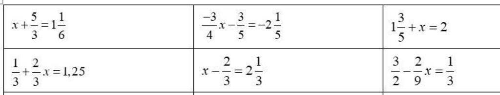
`x + 5/3 = 1 1/6`
`x + 5/3 = 7/6`
`x = 7/6 - 5/3`
`x = -1/2`
`Vậy x =- 1/2`
`-3/4x - 3/5 = -2 1/5`
`3/4x + 3/5 = 11/5`
`3/4x = 11/5 - 3/5`
`3/4x = 8/5`
`x = 8/5 : 3/4`
`x = 32/15`
`Vậy x = 32/15`
`1 3/5 + x = 2`
`8/5 + x = 2`
`x = 2 - 8/5`
`x = 2/5`
`Vậy x = 2/5`
`1/3 + 2/3x = 1,25`
`1/3 + 2/3x = 5/4`
`2/3x = 5/4 - 1/3`
`2/3x = 11/12`
`x = 11/12 : 2/3`
`x = 11/8`
`Vậy x = 11/8`
`x - 2/3 = 2 1/3`
`x - 2/3 = 7/3`
`x = 7/3 + 2/3`
`x = 3`
`Vậy x = 3`
`3/2 - 2/9x = 1/3`
`2/9x = 3/2 - 1/3`
`2/9x = 7/6`
`x = 7/6 : 2/9`
`x = 21/4`
`Vậy x = 21/4`
Hãy giúp mọi người biết câu trả lời này thế nào?
![]()
Đáp án:
Giải thích các bước giải:
` x + 5/3 = 1 1/6 `
` x + 5/3 = 7/6 `
` x = 7/6 - 5/3 `
` x = - 1/2 `
Vậy ` x = - 1/2 `
``
`b)`
` - 3/4x - 3/5 = - 2 1/5 `
` - 3/4x = - 2 1/5 + 3/5 `
` - 3/4x = - 11/5 + 3/5 `
` - 3/4x = - 8/5 `
` x = 32/15 `
Vậy ` x = 32/15 `
``
`c)`
` 1 3/5 + x = 2 `
` x = 2 - 1 3/5 `
` x = 2 - 8/5 `
` x = 2/5 `
vậy ` x = 2/5 `
``
`d)`
` 1/3 + 2/3x = 1,25 `
` 2/3x = 1,25 - 1/3 `
` 2/3x = 11/12 `
` x = 11/8 `
Vậy ` x = 11/8 `
``
`e)`
` x - 2/3 = 2 1/3 `
` x = 2 1/3 + 2/3 `
` x = 7/3 + 2/3 `
` x = 9/3 `
` x = 3 `
Vậy ` x = 3 `
``
f)`
` 3/2 - 2/9x = 1/3 `
` 2/9x = 3/2 - 1/3 `
` 2/9x = 7/6 `
` x = 21/4 `
Vậy ` x = 21/4`
Hãy giúp mọi người biết câu trả lời này thế nào?
![]()
Bảng tin