

rút gọn
giải chi tiết giúp em với ạ
Hãy luôn nhớ cảm ơn và vote 5*
nếu câu trả lời hữu ích nhé!
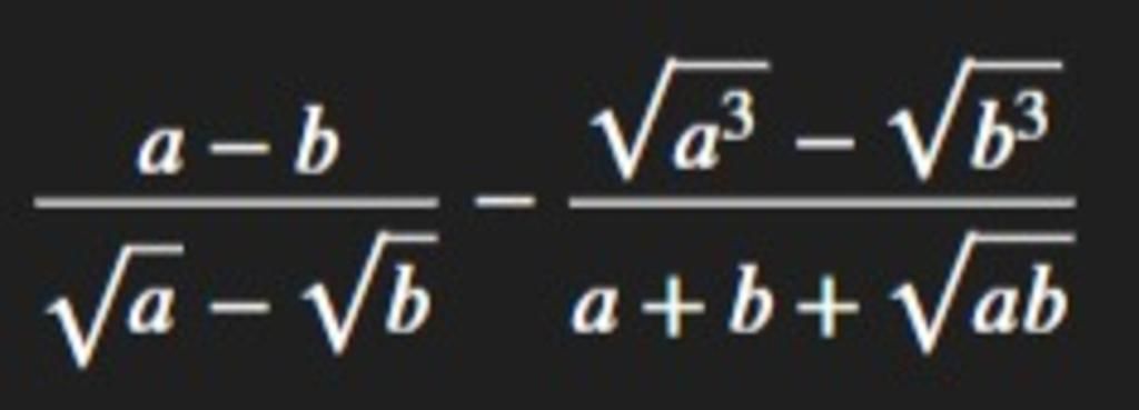
`(a-b)/(\sqrt{a}-\sqrt{b})-(\sqrt{a^3}-\sqrt{b^3})/(a+b+\sqrt{ab})(a\neb,a,b>=0)`
`=((\sqrt{a})^2-(\sqrt{b})^2)/(\sqrt{a}-\sqrt{b})-((\sqrt{a})^3-(\sqrt{b})^3)/(a+\sqrt{ab}+b)`
`=((\sqrt{a}+\sqrt{b})(\sqrt{a}-\sqrt{b}))/(\sqrt{a}-\sqrt{b})-((\sqrt{a}-\sqrt{b})(a+\sqrt{ab}+b))/(a+\sqrt{ab}+b)`
`=(\sqrt{a}+\sqrt{b})-(\sqrt{a}-\sqrt{b})`
`=\sqrt{a}+\sqrt{b}-\sqrt{a}+\sqrt{b}`
`=2\sqrt{b}`
Vậy `...`
Hãy giúp mọi người biết câu trả lời này thế nào?

ĐKXĐ `a \ne b ; a ; b >= 0 `
`( a - b )/( \sqrt{a} - \sqrt{b} ) - (\sqrt{a^3} - \sqrt{b^3} )/( a + b + \sqrt{ab} )`
`= ((\sqrt{a})^2-(\sqrt{b})^2)/(\sqrt{a}-\sqrt{b}) - ((\sqrt{a})^3-(\sqrt{b})^3)/(a+b+\sqrt{ab})`
`= ((\sqrt{a} - \sqrt{b} )( \sqrt{a} + \sqrt{b} ))/(\sqrt{a} - \sqrt{b} ) - ((\sqrt{a} - \sqrt{b} )( a + \sqrt{ab} + b ))/( a + b + \sqrt{ab} )`
`= \sqrt{a} + \sqrt{b} - ( \sqrt{a} - \sqrt{b} )`
`= \sqrt{a} + \sqrt{b} - \sqrt{a} + \sqrt{b}`
`= 2\sqrt{b}`
Hãy giúp mọi người biết câu trả lời này thế nào?

Bảng tin