

em cần đáp án thôi ạ, hứa cho 5 sao + trả lời hay nhất + cảm ơn, nhanh lên ạ em dg gấp
Hãy luôn nhớ cảm ơn và vote 5*
nếu câu trả lời hữu ích nhé!
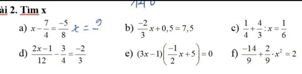
`a, x-7/4 =-5/8`
`x=-5/8 +7/4`
`x=9/8`
`b, -2/3x +0,5 =7,5`
`-2/3x = 7,5 -0,5`
`-2/3x =7`
`x=7: (-2)/3`
`x=-21/2`
`c, 1/4+4/3 :x =1/6`
`4/3:x=1/6-1/4`
`4/3:x=-1/12`
`x=4/3 :(-1)/12`
`x=-16`
`d, (2x-1)/12 -3/4 =-2/3`
`(2x-1)/12 -9/12 =-8/12`
`2x-1 -9 =-8`
`2x -10=-8`
`2x=-8 +10`
`2x=2`
`x=2:2`
`x=1`
`e, (3x-1)(-1/2x +5) =0`
`3x-1=0` hoặc `-1/2x +5=0`
`3x =0+1` hoặc `-1/2x =0-5`
`3x=1` hoặc `-1/2x = -5`
`x=1:3` hoặc `x=-5:(-1)/2`
`x=1/3` hoặc `x=10`
`f, -14/9 +2/9*x^2 =2`
`2/9*x^2 = 2 +14/9`
`2/9*x^2 = 32/9`
`x^2 = 32/9 :2/9`
`x^2 =16`
`x^2 = (±4)^2`
`x=4` hoặc `x=-4`
Hãy giúp mọi người biết câu trả lời này thế nào?
![]()
`a ) x - 7/4 = -5/8`
`x = -5/8 + 7/4`
`x = -5/8 + 14/8`
`x = 9/8`
Vậy `x = 9/8`
-----------------------
`b ) -2/3 x + 0,5 = 7,5`
`-2/3 x = 7,5 - 0,5`
`x = 7/1 : -2/3`
`x = -21/2`
Vậy `x = -21/2`
-----------------------
`c ) 1/4 + 4/3 : x = 1/6`
`4/3 : x = 1/6 - 1/4`
`x = 4/3 : -1/12`
`x = -4/3`
`x = -16`
Vậy `x = -16`
-----------------------
`d ) ( 2x - 1)/12 - 3/4 = -2/3`
`( 2x - 1)/12 = -2/3 + 3/4`
` ( 2x - 1)/12 = 1/12`
` 2x - 1 = 1`
` 2x = 1 + 1`
`x = 2 : 2`
`x = 1`
Vậy `x = 1`
-----------------------------
`e ) (3x - 1)( -1/2 x + 5 ) = 0`
` 3x - 1 = 0 ` hoặc `-1/2 x + 5 = 0`
` 3x = 1` hoặc` -1/2 x = -5`
` x = 1/3` hoặc ` x = -5 : -1/2`
` x = 1/3` hoặc `x = 10`
Vậy `x ∈ { 1/3 ; 10 }`
------------------------------
` f ) -14/9 + 2/9 xx x^2 = 2`
`2/9 xx x^2 = 2 - ( -14/9 )`
`2/9 xx x^2 = 32/9`
`x^2 = 32/9 : 2/9`
`x^2 = 16`
`x = ( ± 4 )^2`
`x = -4` hoặc `x = 4`
Vậy `x = -4` hoặc `x = 4`
Hãy giúp mọi người biết câu trả lời này thế nào?
![]()
Bảng tin