

Hãy luôn nhớ cảm ơn và vote 5*
nếu câu trả lời hữu ích nhé!
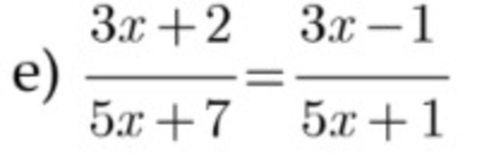
$\dfrac{3x + 2}{5x + 7} = \dfrac{3x - 1}{5x + 1} $ với `x\ne -7/5 ; x\ne -1/5`
$\Leftrightarrow\; (3x + 2)(5x + 1) = (3x - 1)(5x + 7) \\ $
$\Leftrightarrow\; 15x^2 + 3x + 10x + 2 = 15x^2 + 21x - 5x - 7 \\ $
$\Leftrightarrow\; 15x^2 + 13x + 2 = 15x^2 + 16x - 7 \\ $
$\Leftrightarrow\; 13x + 2 = 16x - 7 \\ $
`<=>16x-13x=2+7`
`<=>3x=9`
`<=>x=3(tm)`
Vậy `S={3}`
Hãy giúp mọi người biết câu trả lời này thế nào?

`e) ĐKXĐ : x \ne -7/5 ; x \ne -1/5`
`( 3x + 2)/( 5x + 7) = ( 3x -1 )/(5x+1)`
`( 3x + 2 ).( 5x + 1) = ( 3x - 1).( 5x + 7)`
`15x^2 + 10x + 3x + 2 = 15x^2 - 5x + 21x - 7`
`15x^2 + 10x + 3x - 15x^2 + 5x - 21x = -2 - 7`
`-3x =-9`
`x = 3`
Vậy `x = 3`
Hãy giúp mọi người biết câu trả lời này thế nào?

Bảng tin
1204
540
1205
m iu đi
1683
238
1917
thằng pal say với thằng Dat kkkk
1204
540
1205
=)))
1683
238
1917
:)))) kay
1683
238
1917
thk đạt đòi thk pal chở đi ăn gà rán `2` đứa ngã vào khách sạn chơi đồ hàng
1204
540
1205
=)))))))))00
1683
238
1917
kkk
1204
540
1205
pal ơi t đi với