

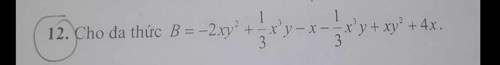
bài 12:
a) Thu gọn đa thức B và xác định bậc của đa thức.
b) Tính giá trị của B tại x=1;x=2
Hãy luôn nhớ cảm ơn và vote 5*
nếu câu trả lời hữu ích nhé!
`a)` Thu gọn :
`B = -2xy^2 + 1/3x^3y - x - 1/3x^3y + xy^2 + 4x`
`B= -2xy^2 + (1/3x^3y - 1/3x^3y) + xy^2 + (4x-x)`
`B = -2xy^2 + xy^2 + 3x`
`B = -xy^2 + 3x`
Bậc `: 3`
`b)` Thay `x=1,y=2` vào `B`, ta có :
`B= -(1 . 2^2) + 3 . 1`
`B = -( 1 . 4 ) + 3`
`B = -4 + 3`
`B=-1`
Vậy `B=-1` tại `x=1,y=2`
Hãy giúp mọi người biết câu trả lời này thế nào?
![]()
Bài 12:
`a)B=-2xy^2+1/3x^3y-x-1/3x^3y+xy^2+4x`
`=(-2xy^2+xy^2)+(1/3x^3y-1/3x^3y)+(-x+4x)`
`=-xy^2+0+3x`
`=-xy^2+3x`
Bậc của `-xy^2` là `1+2=3`
Bậc của `3x` là `1`
Nên bậc của `B` là bậc của đơn thức có bậc cao nhất là bậc `2`
`b)` Thay `x=1,y=2` vào `B` ta được:
`B=-1*2^2+3*1`
`=-4+3`
`=-1`
Vậy: `B=-1` khi `x=1,y=2`
Hãy giúp mọi người biết câu trả lời này thế nào?
![]()
Bảng tin
2791
111
1641
👽 ê má
2270
122
1627
Điểm you còn nhiều hơn t
2270
122
1627
Tận `2` điểm =)