

Hãy luôn nhớ cảm ơn và vote 5*
nếu câu trả lời hữu ích nhé!
Đáp án+Giải thích các bước giải:
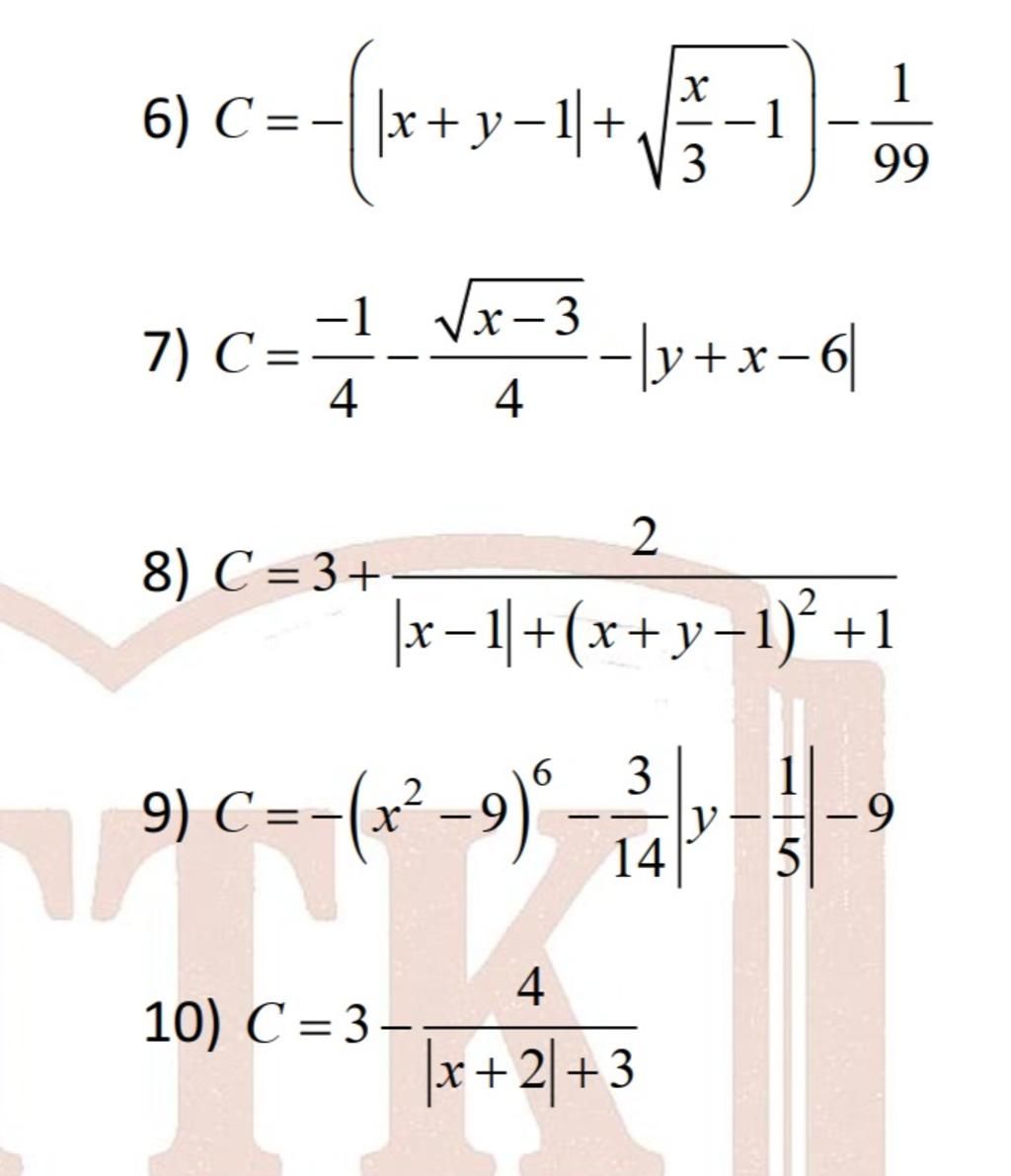
`6) C = - ( |x + y - 1| + \sqrt{x/3 - 1} ) - 1/99` (ĐKXĐ: `x >= 3`)
Do `|x + y - 1| >= 0 ∀ y \in RR ; x >=3` và `\sqrt{x/3 - 1} >= 0 ∀ x >= 3`
`-> |x + y - 1| + \sqrt{x/3 - 1} >= 0`
`-> - ( |x + y - 1| + \sqrt{x/3 - 1}) <= 0`
`-> C <= 0 - 1/99 = -1/99`
Dấu "`=`" xảy ra khi `{(|x + y - 1| = 0),(\sqrt{x/3 - 1} = 0):}`
`-> {(x + y - 1 = 0),(x/3 - 1 = 0):}`
`-> {(y = -2),(x = 3):}`
Vậy `C_max = -1/99` khi `x = 3 ; y = -2`
------------------------------------------------------------------
`7) C = -1/4 - (\sqrt{x - 3})/4 - |y + x - 6|` (ĐKXĐ: `x >= 3`)
Do `(\sqrt{x - 3})/4 >= 0 ∀ x > = 3`
`-> - (\sqrt{x - 3}/4 <= 0`
Lại có: `|y + x - 6| >= 0 ∀ y \in RR ; x >= 3`
`-> - |y + x - 6| <= 0`
`-> C <= -1/4 + 0 + 0 = -1/4`
Dấu "`=`" xảy ra khi: `{((\sqrt{x} - 3)/4 = 0),(|y + x - 6| = 0):}`
`-> {( \sqrt{x - 3} = 0),(y + x - 6 = 0):}`
`-> {( x = 3) , (y = 3):}`
Vậy `C_max = -1/4` khi `x = y = 3`
-------------------------------------------------------------
`8) C = 3 + 2/(|x - 1| + (x + y - 1)^2 + 1)`
Do `|x - 1| >= 0 x \in RR ; (x + y - 1)^2 >= 0 x ; y \in RR`
`-> |x - 1| + (x + y - 1)^2 + 1 >= 0 + 0 + 1 = 2`
`-> 2/( |x - 1| + (x + y - 1)^2 + 1) <= 2/1 = 2`
`-> C <= 3 + 2 = 5`
Dấu "`=`" xảy ra khi: `{(|x - 1| = 0),((x + y - 1)^2 = 0):}`
`-> {(x - 1 = 0),(x + y - 1 = 0):}`
`-> {(x = 1),(y = 0):}`
Vậy `C_max = 5` khi `x = 1 ; y = 0`
-----------------------------------------------------------
`9) C = - (x^2 - 9)^6 - 3/14 |y - 1/5| - 9`
Do `-(x^2 - 9)^6 <= 0 ∀ x \in RR` và `-3/14|y - 1/5| <= 0 ∀ y \in RR`
`-> C <= 0 + 0 - 9 = -9`
Dấu "`=`" xảy ra khi `{((x^2 - 9)^6 = 0),(|y - 1/5| = 0):}`
`-> {(x^2 - 9 = 0),(y - 1/5 = 0):}`
`-> {(x = ± 3),(y = 1/5):}`
Vậy `C_max = - 9` khi `(x ; y) = {(3 ; 1/5) ; (-3 ; 1/5)}`
--------------------------------------------------------------
`10) C = 3 - 4/(|x + 2| + 3)`
Do `|x + 2| >= 0 ∀ x \in RR`
`-> |x + 2| + 3 >= 3`
`-> 4/(|x + 2| + 3) <= 4/3`
`-> -4/(|x + 2| + 3) >= -4/3`
`C >= 3 - 4/3 = 5/3`
Dấu"`=`" xảy ra khi `|x + 2| = 0`
`-> x + 2 = 0 `
`-> x = -2`
Vậy `C_min = 5/3` khi `x = -2`
Hãy giúp mọi người biết câu trả lời này thế nào?
![]()
Đáp án`+`Giải thích các bước giải:
`6,` ĐK: `x \ge 3`
Vì `|x +y - 1| \ge 0 AAx;y \in RR`
`\sqrt{x/3 - 1} \ge 0 AAx \ge 3`
`=> -(|x +y - 1| + \sqrt{x/3 - 1}) \le 0`
`=> -(|x +y - 1| + \sqrt{x/3 - 1}) - 1/(99) \le (-1)/(99)`
`=> C \le (-1)/(99)`
Dấu "`=`" xảy ra `<=> {(|x + y - 1| = 0),(\sqrt{x/3 - 1} = 0):}`
`<=> {(x +y - 1= 0),(x/3 - 1=0):}`
`<=> {(y = 1 -x),(x= 3):}`
`<=> {(y =-2),(x = 3 (\text{tm})):}`
Vậy GTLN của `C = (-1)/(99) <=> x = 3;y= - 2`
`7,` ĐK:`x \ge 3`
Vì `- (\sqrt{x - 3})/4 \le 0 AAx \ge 3`
`-|y +x -6| \le 0 AAy \in RR;x \ge 3`
`=> -(\sqrt{x - 3})/4 - |y + x - 6| \le 0 `
`=> (-1)/4- (\sqrt{x - 3})/4 - |y +x - 6| \le (-1)/4`
`=> C \le (-1)/4`
Dấu "`=`" xảy ra `<=> {(-(\sqrt{x - 3})/4 =0),(-|y +x - 6| =0):}`
`<=> {(x - 3= 0),(y +x -6 = 0):}`
`<=> {(x = 3 (\text{tm})),(y = 6 -x):}`
`<=> x=y = 3`
Vậy GTLN của `C = -1/4 <=>x =y = 3`
`8,` VÌ `|x -1| \ge 0 AAx \in RR`
`(x + y - 1)^2 \ge 0 AAx;y \in RR`
`=> |x -1| + (x +y - 1)^2 \ge 0`
`=> |x - 1| + (x +y - 1)^2 + 1 \ge 1`
`=> 2/(|x - 1| + (x + y - 1)^2 + 1) \le 2`
`=> 3 + 2/(|x - 1| + (x + y - 1)^2 + 1) \le 3 + 2`
`=> C \le 5`
Dấu "`=`" xảy ra `<=> {(|x - 1| = 0),((x +y - 1)^2= 0):}`
`<=> {(x -1= 0),(x +y - 1= 0):}`
`<=> {(x = 1),(y = 1 -x):}`
`<=> {(x = 1),(y =0):}`
Vậy GTLN của `C = 5 <=> x = 1;y = 0`
`9,` Vì `-(x^2 -9)^6 \le 0 AAx \in RR`
`-3/(14) |y - 1/5| \le 0 AAy \in RR`
`=> -(x^2 - 9)^6 - 3/(14) |y - 1/5| \le 0`
`=> -(x^2 - 9)^6 - 3/(14) |y - 1/5| -9 \le -9`
`=> C \le -9`
Dấu "`=`" xảy ra `<=> {(-(x^2 - 9)^6 = 0),(-3/(14)|y - 1/5| =0):}`
`<=> {(x^2= 9),(y - 1/5= 0):}`
`<=> {(x = +-3),(y =1/5):}`
Vậy GTLN của `C= - 9 <=> (x;y) \in {(3;1/5);(-3;1/5)}`
`10,` Vì `|x + 2| \ge0 AAx \in RR`
`=> |x + 2| + 3 \ge 3`
`=> 4/(|x + 2| + 3) \le 4/3`
`=> 3 - 4/(|x + 2| + 3) \le 3 -4/3`
`=> C \le 5/3`
Dấu "`=`" xảy ra `<=> |x + 2|= 0`
`<=> x= - 2`
Vậy GTLN của `C= 5/3 <=>x = -2`
`***`sharksosad
Hãy giúp mọi người biết câu trả lời này thế nào?
![]()
Bảng tin