

giúppppppppppppppppppp
Hãy luôn nhớ cảm ơn và vote 5*
nếu câu trả lời hữu ích nhé!
Đáp án`+`Giải thích các bước giải:
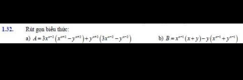
`a, A= 3x^(n - 2) (x^(n + 2) - y^(n + 2)) + y^(n + 2) (3x^(n -2) - y^(n - 2))`
`= 3x^(n - 2+ n + 2) - 3x^(n - 2) y^(n + 2) + 3x^(n - 2) y^(n + 2) - y^(n + 2 + n - 2)`
`= 3x^(2n) - y^(2n)`
`b, B =x^(n - 1) (x +y) -y(x^(n - 1) +y^(n - 1))`
`= x^(n - 1 + 1) + x^(n - 1) y - x^(n - 1)y - y^(1 + n - 1)`
`= x^n - y^n`
`***`sharksosad
Hãy giúp mọi người biết câu trả lời này thế nào?

Đáp án + Giải thích các bước giải:
`-` `a)`
`A = 3x^{n-2}(x^{n+2} - y^{n+2}) + y^{n+2}(3x^{n-2} - y^{n-2})`
`= 3x^{n-2}x^{n+2} - 3x^{n-2}y^{n+2} + 3y^{n+2}x^{n-2} - y^{n+2}y^{n-2}`
`= 3x^{n-2+n+2} - 3x^{n-2}y^{n+2} + 3x^{n-2}y^{n+2} - y^{n+2+n-2}`
`= 3x^{2n} - y^{2n}`
`-` `b)`
`B = x^{n-1}(x+y) - y(x^{n-1} + y^{n-1})` `= x^{n-1}x + x^{n-1}y - yx^{n-1} - yy^{n-1}` ` = x^{n-1+1} + x^{n-1}y - x^{n-1}y - y^{1+n-1}`
`= x^n - y^n`
Hãy giúp mọi người biết câu trả lời này thế nào?

Bảng tin