

Hãy luôn nhớ cảm ơn và vote 5*
nếu câu trả lời hữu ích nhé!
Đáp án`+`Giải thích các bước giải:
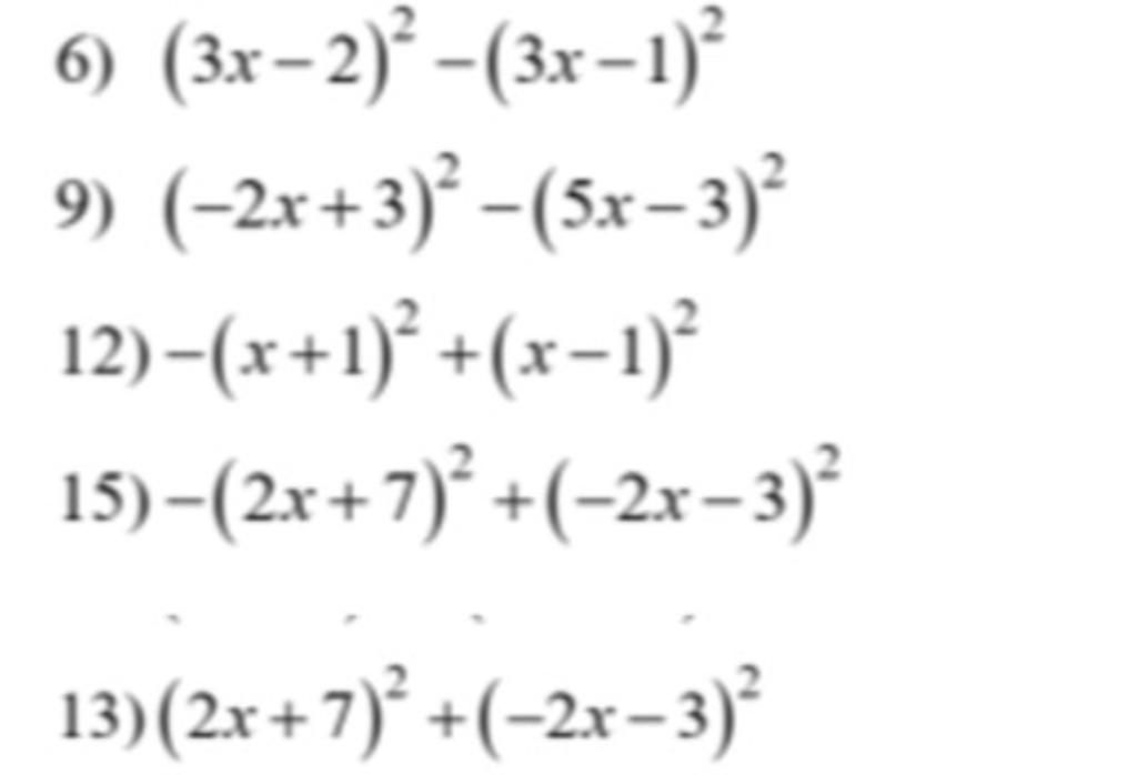
`6, (3x - 2)^2 - (3x - 1)^2`
`= (3x - 2 - 3x + 1)(3x - 2 + 3x - 1)`
`= -1(6x - 3)`
`= 3 - 6x`
`9, (-2x + 3)^2 - (5x - 3)^2`
`= (-2x + 3 - 5x + 3)(-2x + 3 + 5x - 3)`
`= 3x(6 - 7x)`
`= 18x -2 1x^2`
`12, -(x + 1)^2 + (x - 1)^2`
`= (x - 1)^2 - (x + 1)^2`
`= (x - 1 -x - 1)(x- 1 + x + 1)`
`= -2.2x`
`= - 4x`
`15, -(2x + 7)^2 + (-2x - 3)^2`
`= (-2x - 3)^2 - (2x + 7)^2`
`= (-2x - 3 - 2x - 7)(-2x - 3 + 2x + 7)`
`= 4(-4x - 10)`
`= -8(2x + 5)`
`= -16x - 40`
`13, (2x + 7)^2 + (-2x - 3)^2`
`= (2x + 7)^2 + (2x + 3)^2`
`= 4x^2 + 28x + 49 + 4x^2 + 12x + 9`
`= 8x^2 + 40x + 58`
`***`sharksosad
Hãy giúp mọi người biết câu trả lời này thế nào?

`6, (3x-2)^2 -(3x-1)^2`
`=(3x-2-3x+1)(3x-2+3x-1)`
`=-1(6x-3)`
`=-6x+3`
`9, (-2x+3)^2 -(5x-3)^2`
`=(-2x+3-5x+3)(-2x+3+5x-3)`
`=(-7x+6) . 3x`
`=-21x^2 +18x`
`12, -(x+1)^2 +(x-1)^2`
`=(x-1)^2 -(x+1)^2`
`=(x-1-x-1)(x-1+x+1)`
`=-2 . 2x`
`=-4x`
`15, -(2x+7)^2 +(-2x-3)^2`
`=(-2x-3)^2 -(2x+7)^2`
`=(-2x-3-2x-7)(-2x-3+2x+7)`
`=(-4x -10) . 4`
`=-16x -40`
`13, (2x+7)^2 +(-2x-3)^2`
`=4x^2 +28x +49 +4x^2 +12x +9`
`=8x^2 +40x +58`
Hãy giúp mọi người biết câu trả lời này thế nào?

Bảng tin
12
5559
4
ủa dòng 1 là như nào v mình chưa hiểu lắm