Vui lòng chỉ chọn một câu hỏi
Hoidap247.com Nhanh chóng, chính xác
+
Danh mục mới
12
739
13
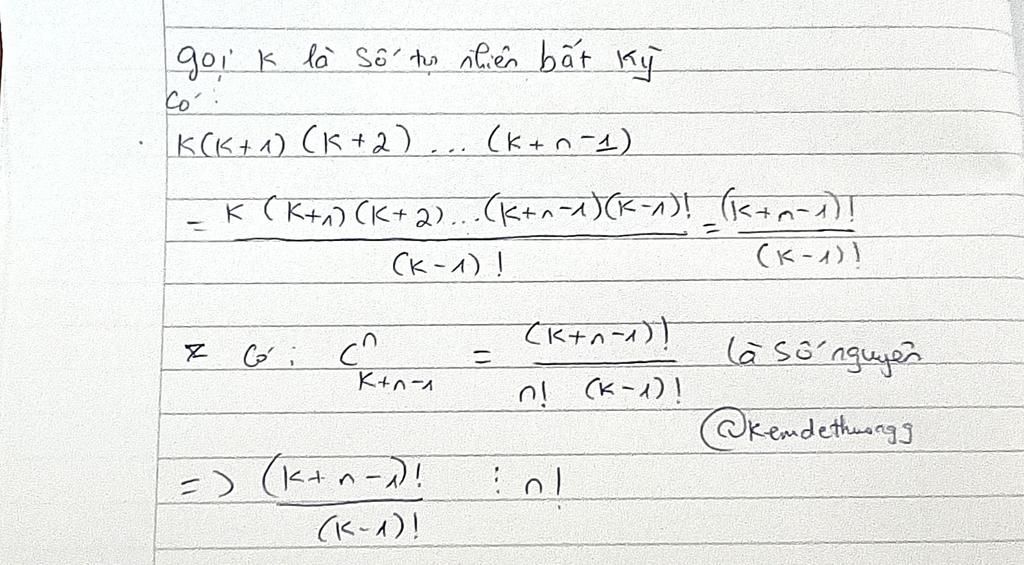
chứng minh rằng tích n số tự nhiên liên tiếp chia hết cho n!
Hãy luôn nhớ cảm ơn và vote 5* nếu câu trả lời hữu ích nhé!
1257
4228
719
Bạn xem hình nha
Hãy giúp mọi người biết câu trả lời này thế nào?
mình cảm ơn nha
à hogg có zìi
Xem thêm:
Bảng tin
Gửi yêu cầu Hủy
12
739
13
mình cảm ơn nha
1257
4228
719
à hogg có zìi