

Hãy luôn nhớ cảm ơn và vote 5*
nếu câu trả lời hữu ích nhé!
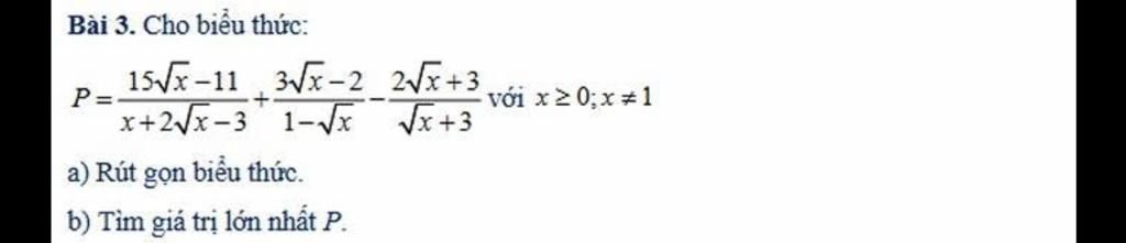
`a)P=(15\sqrt{x}-11)/(x+2\sqrt{x}-3)+(3\sqrt{x}-2)/(1-\sqrt{x})-(2\sqrt{x}+3)/(\sqrt{x}+3)(x>=0,x\ne1)`
`=(15\sqrt{x}-11)/((\sqrt{x}-1)(\sqrt{x}+3))-(3\sqrt{x}-2)/(\sqrt{x}-1)-(2\sqrt{x}+3)/(\sqrt{x}+3)`
`=(15\sqrt{x}-11)/((\sqrt{x}-1)(\sqrt{x}+3))-((3\sqrt{x}-2)(\sqrt{x}+3))/((\sqrt{x}-1)(\sqrt{x}+3))-((2\sqrt{x}+3)(\sqrt{x}-1))/((\sqrt{x}-1)(\sqrt{x}+3))`
`=(15\sqrt{x}-11-(3x+9\sqrt{x}-2\sqrt{x}-6)-(2x-2\sqrt{x}+3\sqrt{x}-3))/((\sqrt{x}+3)(\sqrt{x}-1))`
`=(15\sqrt{x}-11-3x-7\sqrt{x}+6-2x-\sqrt{x}+3)/((\sqrt{x}-1)(\sqrt{x}+3))`
`=(-5x+7\sqrt{x}-2)/((\sqrt{x}-1)(\sqrt{x}+3))`
`=-(5x-7\sqrt{x}+2)/((\sqrt{x}-1)(\sqrt{x}+3))`
`=-((\sqrt{x}-1)(5\sqrt{x}-2))/((\sqrt{x}-1)(\sqrt{x}+3))`
`=-(5\sqrt{x}-2)/(\sqrt{x}+3)`
`b)P=-(5(\sqrt{x}+3)-17)/(\sqrt{x}+3)`
`=-5+17/(\sqrt{x}+3)`
Ta có:
`\sqrt{x}+3>=3`
`->17/(\sqrt{x}+3)<=17/3`
`->P=-5+17/(\sqrt{x}+3)<=-5+17/3=2/3`
Dấu "=" xảy ra: `x=0(N)`
Vậy: `...`
Hãy giúp mọi người biết câu trả lời này thế nào?
Đáp án`+`Giải thích các bước giải:
Bài `3.`
`a,` `P=(15\sqrt{x}-11)/(x+2\sqrt{x}-3)+(3\sqrt{x}-2)/(1-\sqrt{x})-(2\sqrt{x}+3)/(\sqrt{x}+3)`
`P=(15\sqrt{x}-11)/((\sqrt{x}+3)(\sqrt{x}-1))+((3\sqrt{x}-2)(\sqrt{x}+3))/((\sqrt{x}+3)(\sqrt{x}-1))-((2\sqrt{x}+3)(\sqrt{x}-1))/((\sqrt{x}+3)(\sqrt{x}-1))`
`P=(15\sqrt{x}-11-3x-7\sqrt{x}+6-2x-\sqrtx+3)/((\sqrt{x}+3)(\sqrt{x}-1))`
`P=(-5x+7\sqrt{x}-2)/((\sqrt{x}+3)(\sqrt{x}-1))`
`P=(-(5x-7\sqrt{x}+2))/((\sqrt{x}+3)(\sqrt{x}-1))`
`P=(-(5\sqrt{x}-2)(\sqrt{x}-1))/((\sqrt{x}+3)(\sqrt{x}-1))`
`P=(-5\sqrt{x}+2)/(\sqrt{x}+3)` `(x>=0;x \ne 1)`
`b,` Ta có:
`P=(-5\sqrt{x}+2)/(\sqrt{x}+3)=(-5(\sqrt{x}+3)+17)/(\sqrt{x}+3)=-5+17/(\sqrt{x}+3)`
Để `P max` thì `17/(\sqrt{x}+3)` đạt GTLN
Vì `\sqrt{x}>=0` nên `\sqrt{x}+3>=3`
`->17/(\sqrt{x}+3)<=17/3`
Do đó, `P<=-5+17/3=2/3`
Vậy `max P=2/3` tại `x=0`
Hãy giúp mọi người biết câu trả lời này thế nào?
Bảng tin