

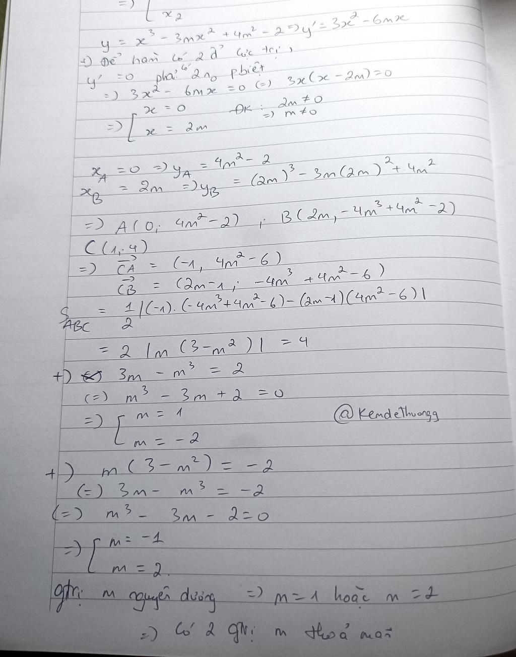
Cho hàm số y=x^3-3mx^2+4m^2-2 có đồ thị (C) và điểm C(1;4) . Có bao nhiêu giá trị nguyên dương của m để (C) có hai điểm cực trị A, B sao cho tam giác ABC có diện tích bằng 4 ?
Hãy luôn nhớ cảm ơn và vote 5*
nếu câu trả lời hữu ích nhé!
`y = x^3 - 3mx^2 + 4m^2 - 2`
`y' = 3x^2 - 6mx = 0 to x = 0` hoặc `x = 2m`
Không mất tính tổng quát , giả sử `A(0 ; 4m^2 - 2)`
`B(2m ; -4m^3 + 4m^2 - 2)`
`vec{AB} (2m ; -4m^3)`
`vec{AC} (1 ; 6 - 4m^2)`
`S_{ABC} = 1/2| 1 . (-4m^3) - 2m . (6 - 4m^2)| = 4`
`to |-4m^3 - 12m + 8m^3| = 8`
`to |4m^3 - 12m| = 8`
`to 4m^3 - 12m - 8 = 0` hoặc `4m^3 - 12m + 8 = 0`
`to` \(\left[ \begin{array}{l}m=2\\m=-1\\m=-2\\m=1\\\end{array} \right.\)
`to` Có `2` giá trị nguyên dương của `m` thỏa mãn yêu cầu đề bài
Hãy giúp mọi người biết câu trả lời này thế nào?
Bảng tin