

Hãy luôn nhớ cảm ơn và vote 5*
nếu câu trả lời hữu ích nhé!
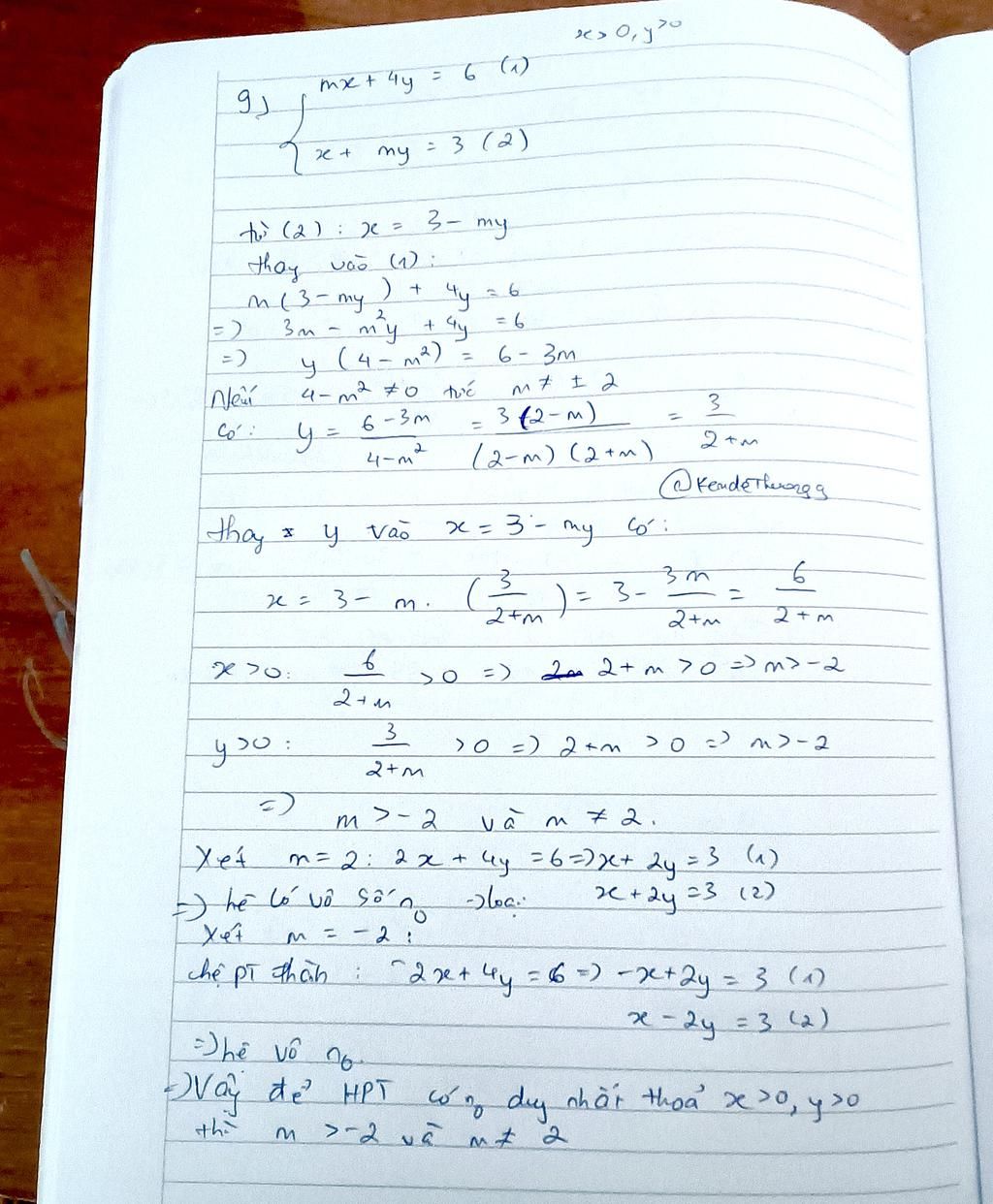
Đáp án+Giải thích các bước giải:
Hệ PT có nghiệm duy nhất khi:
`a/(a') \ne b/(b')`
`-> m/1 \ne 4/m`
`-> m^2 \ne 4`
`-> m \ne ± 2`
`{(mx + 4y = 6 (1)),(x + my = 3(2)):}`
Từ `(2)` ta có: `x = 3 - my (**)` thế vào `(1)` đc:
`m(3 - my) + 4y = 6`
`3m - m^2y + 4y = 6`
`y(4 - m^2) = 6 - 3m`
`y = (6- 3m)/(4 - m^2)`
`y = (3 (2 - m))/((2 - m)(m + 2))`
`y = 3/(m + 2)`
Thay `y = 3/(m + 2)` vào `(**)` đc:
`x = 3 - m . 3/(m + 2)`
`x = 3 - (3m)/(m + 2)`
`x = (3m + 6 - 3m)/(m + 2)`
`x = 6/(m + 2)`
Theo bài: `{(x > 0),(y > 0):}`
`-> {(6/(m + 2) > 0),( 3/(m + 2) > 0):}`
Mà `6 ; 3 > 0`
`-> m + 2 > 0`
`-> m > -2`
Kết hợp với đk ta đc:
`-> m > - 2 ; m \ne 2`
Vậy `m > -2 ; m \ne 2` thì HPT có nghiệm duy nhất
Hãy giúp mọi người biết câu trả lời này thế nào?
Bảng tin