

cuuuuuuuuuuuuuu!!!!!!!!!!!
Hãy luôn nhớ cảm ơn và vote 5*
nếu câu trả lời hữu ích nhé!
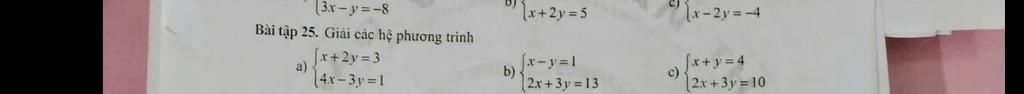
a) `{(x+2y=3),(4x-3y=1):}`
`{(4x + 8y = 12),(4x-3y=1):}`
`4x + 8y - 4x + 3y = 12 - 1`
`11y = 11`
`y = 1`
Thay `y = 1` vào `x + 2y = 3`, ta được:
`x + 2.1 = 3`
`x + 2 = 3`
`x = 1`
Vậy, hệ phương trình có nghiệm `(x;y) = (1;1)`
b) `{(x -y = 1),(2x + 3y = 13):}`
`{(x = y+1),(2 (y+1) + 3y = 13):}`
`{(x = y+1),(2y + 2 + 3y = 13):}`
`{(x = y+1),(5y = 11):}`
`{(x = 11/5 + 1 = 16/5),(y = 11/5):}`
Vậy, hệ phương trình có nghiệm `(x;y) = (16/5;11/5)`
c) `{(x+y=4),(2x+3y=10):}`
`{(x = 4-y),(2 (4-y) + 3y = 10):}`
`{(x = 4-y),(8 - 2y + 3y = 10):}`
`{(x = 4-2=2),(y = 2):}`
Vậy, hệ phương trình có nghiệm `(x;y) = (2;2)`
Hãy giúp mọi người biết câu trả lời này thế nào?
Đáp án+Giải thích các bước giải:
a)
`{(x + 2y = 3),(4x - 3y = 1):}`
`{(x = 3 - 2y ),(4(3 - 2y) - 3y = 1):}`
`{(x = 3 - 2y),(12 - 8y - 3y = 1):}`
`{(x = 3 - 2y),(- 11y = 1 - 12 = - 11):}`
`{(x = 1),(y = 1):}`
Vậy `(x;y) = (1 ; 1)`
b)
`{(x - y = 1),(2x + 3y = 13):}`
`{(x = 1 + y),(2(1 + y) + 3y = 13):}`
`{(x = 1 + y),(2 + 2y + 3y = 13):}`
`{(x = 1 + y),(5y = 11):}`
`{(x = 1 + 11/5),(y = 11/5):}`
`{(x = 16/5),(y = 11/5):}`
Vậy `(x ; y) = (16/5 ; 11/5)`
c)
`{(x + y = 4),(2x + 3y = 10):}`
`{(x = 4 - y),(2x + 3y = 10):}`
`{(x = 4 - y),(2(4 - y) + 3y = 10):}`
`{(x = 4 - y),(8 - 2y + 3y = 10):}`
`{(x = 4 - y),(y = 2):}`
`{(x = 2),(y = 2):}`
Vậy `(x ; y) =(2 ; 2)`
Hãy giúp mọi người biết câu trả lời này thế nào?
Bảng tin