

Tìm giá trị lớn nhất hoặc giá trị nhỏ nhất của các biểu thức sau:
Hãy luôn nhớ cảm ơn và vote 5*
nếu câu trả lời hữu ích nhé!
Đáp án:
Giải thích các bước giải:
`6`
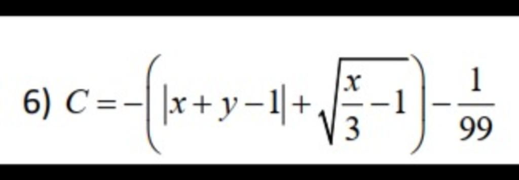
`C=(|x+y-1| + sqrt{x/3-1})-1/99`
`C=-|x+y-1| -sqrt{x/3-1} -1/99`
Vì `-|x+y-1| <=0 AA x;y`
`-sqrt{x/3-1} <=0 `
`to C=-|x+y-1| -sqrt{x/3-1} -1/99 <= -1/99`
`to` `GTLNN` của `C=-1/99`
Dấu "`=`" xảy ra khi
`-|x+y-1|=0` và `sqrt{x/3-1}=0`
`x+y-1=0` và `x/3-1=0`
`x+y=1` và `x/3=1`
`x+y=1` và `x=3`
`3+y=1` và `x=3`
`y=-2` và `x=3`
Vậy `C_(max)=-1/99` khi `x=3;y=-2`
Hãy giúp mọi người biết câu trả lời này thế nào?

Đáp án+Giải thích các bước giải:
`C = - ( |x + y - 1| + \sqrt{x/3 - 1} ) - 1/99` (đkxđ: `x >= 3`)
Do `|x + y - 1| >= 0 ∀ x ; y` và `\sqrt{x/3 - 1} >= 0 ∀ x >= 3`
`-> |x + y - 1| + \sqrt{x/3 - 1} >= 0 ∀ y ; x = 3`
`-> - ( |x + y - 1| + \sqrt{x/3 - 1}) <= 0`
`-> C <= 0 - 1/99 = -1/99`
Dấu "`=`" xảy ra khi `{(|x + y - 1| = 0),(\sqrt{x/3 - 1} = 0):}`
`-> {(x + y - 1 = 0),(x/3 - 1 = 0):}`
`-> {(y = 1 - x),(x/3 = 1):}`
`-> {(y = 1 - x),(x = 3):}`
`-> {(y = -2),(x = 3):}`
Vậy `C_max = -1/99` khi `{(x = 3),(y = -2):}`
Hãy giúp mọi người biết câu trả lời này thế nào?

Bảng tin