

Hãy luôn nhớ cảm ơn và vote 5*
nếu câu trả lời hữu ích nhé!
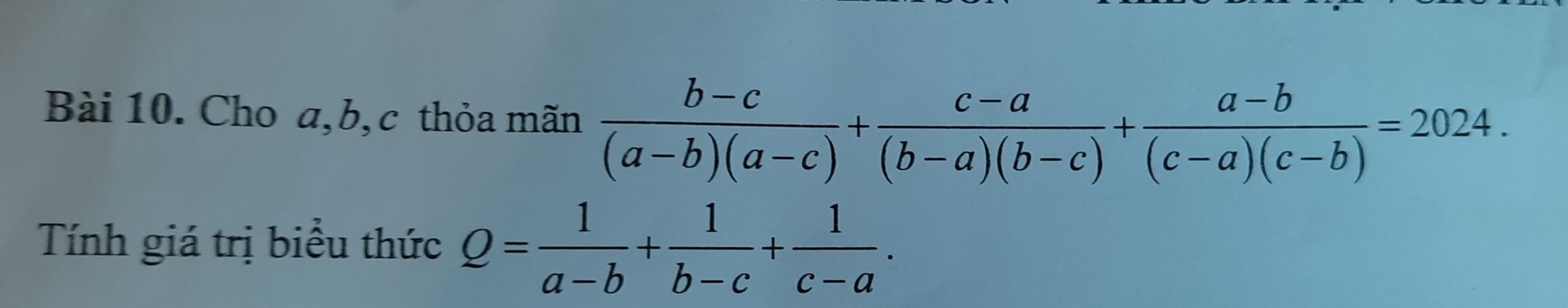
Ta có:
`(b-c)/((a-b)(a-c)) + (c-a)/((b-a)(b-c)) + (a-b)/((c-a)(c-b)) = 2024`
`=>((a-c) -(a-b))/((a-b)(a-c)) + ((b-a)(b-c))/((b-a)(b-c)) + ((c-b)(c-a))/((c-a)(c-b)) =2024`
`=> 1/(a-b) - (1/a-c) + 1/(b-c) -1/(b-a)+1/(c-a) -1/(c-b) =2024`
`=> 1/(a-b) +1/(c-a) +1/(b-c)+ 1/(b-c)+ 1/(a-b)+ 1/(c-a)+ 1/(c-b)=2024`
`=> 2(1/(a-b)+ 1/(b-c)+ 1/(c-a)) =2024`
`=> 2.Q=2024`
`=> Q=1012`
Vậy `Q=1012`
Hãy giúp mọi người biết câu trả lời này thế nào?

$$ \frac{b-c}{(a-b)(a-c)} = \frac{(a-c) - (a-b)}{(a-b)(a-c)} = \frac{a-c}{(a-b)(a-c)} - \frac{a-b}{(a-b)(a-c)} = \frac{1}{a-b} - \frac{1}{a-c} = \frac{1}{a-b} + \frac{1}{c-a} $$
$$ \frac{c-a}{(b-a)(b-c)} = \frac{(b-a) - (b-c)}{(b-a)(b-c)} = \frac{b-a}{(b-a)(b-c)} - \frac{b-c}{(b-a)(b-c)} = \frac{1}{b-c} - \frac{1}{b-a} = \frac{1}{b-c} + \frac{1}{a-b} $$
$$ \frac{a-b}{(c-a)(c-b)} = \frac{(c-b) - (c-a)}{(c-a)(c-b)} = \frac{c-b}{(c-a)(c-b)} - \frac{c-a}{(c-a)(c-b)} = \frac{1}{c-a} - \frac{1}{c-b} = \frac{1}{c-a} + \frac{1}{b-c} $$
$$ VT = \left(\frac{1}{a-b} + \frac{1}{c-a}\right) + \left(\frac{1}{b-c} + \frac{1}{a-b}\right) + \left(\frac{1}{c-a} + \frac{1}{b-c}\right) $$
$$ VT = 2\left(\frac{1}{a-b} + \frac{1}{b-c} + \frac{1}{c-a}\right) $$
$$ 2Q = 2024 $$
Suy ra:
$$ Q = \frac{2024}{2} $$
$$ Q = 1012 $$
Vậy, giá trị của biểu thức Q là 1012.
Hãy giúp mọi người biết câu trả lời này thế nào?

Bảng tin
19
273
17
cảm ơn ạ
698
11394
739
mong hay nhất
19
273
17
ok ak
77
1248
40
vào thì dừng có phá nhóm nha
19
273
17
sau 2 thangs trở thanhf 1 thằng bị khóa vv
698
11394
739
đúng phết