

giúp mik bài này với ạ
Hãy luôn nhớ cảm ơn và vote 5*
nếu câu trả lời hữu ích nhé!
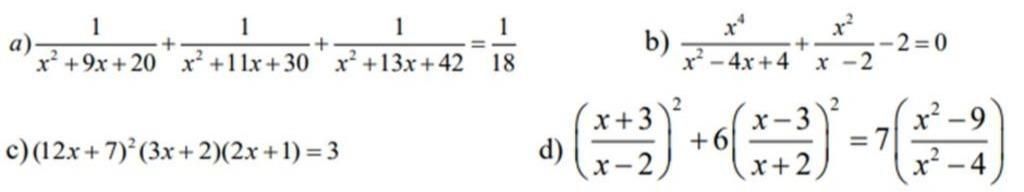
a) `1/(x^2 + 9x + 20) + 1/(x^2 + 11x + 30) + 1/(x^2 + 13x + 42) = 1/18` (`x notin{-4;-5;-6;-7}`)
`1/((x^2 + 4x)+ (5x + 20)) + 1/(x^2 + 6x) + (5x + 30)) + 1/((x^2 + 6x) + (7x + 42)) = 1/18`
`1/(x (x+4) + 5 (x+4)) + 1/(x (x+6) + 5 (x+6)) + 1/(x (x+6) + 7 (x+6)) = 1/18`
`1/((x+4)(x+5)) + 1/((x+5)(x+6)) + 1/((x+6)(x+7)) = 1/18`
`1/(x+4) - 1/(x+5) + 1/(x+5) - 1/(x+6) + 1/(x+6) - 1/(x+7) = 1/18`
`1/(x+4) - 1/(x+7) = 1/18`
`(x+7-x-4)/((x+4)(x+7)) = 1/18`
`3/(x^2 + 11x + 28) = 1/18`
`x^2 + 11x + 28 = 3 . 18 = 54`
`x^2 + 11x - 26 = 0`
`(x^2 + 13x) - (2x + 26) = 0`
`x (x+13) - 2 (x+13) = 0`
`(x-2)(x+13) = 0`
Suy ra: `x -2 = 0` hoặc `x + 13 == 0`
`x = 2` hoặc `x = -13`
Vậy, `S = {2;-13}`
b) `(x^4)/(x^2 - 4x + 4) + (x^2)/(x-2) - 2 = 0` (`x ne 2`)
`((x^2)^2)/((x-2)^2) + (x^2)/(x-2) - 2= 0`
`((x^2)/(x-2))^2 + (x^2)/(x-2) - 2= 0`
Đặt `a= x^2/(x-2)`, khi đó ta được:
`a^2 + a - 2= 0`
`(a^2 + 2a) - (a + 2) = 0`
`a (a+2) - 1 (a+2) = 0`
`(a-1)(a+2) = 0`
Suy ra: `a - 1 = 0` hoặc `a + 2 = 0`
Trường hợp 1: `a - 1 = 0`
`(x^2)/(x-2) = 1`
`x^2 = x - 2`
`x^2 - x + 2 = 0`
`x^2 - 2 . 1/2 . x + (1/2)^2 + 3/4 = 0`
`(x-1/2)^2 + 3/4 > 0` (loại)
Trường hợp 2: `a + 2 = 0`
`(x^2)/(x-2) = -2`
`x^2 = - 2 (x-2)`
`x^2 + 2x - 4 = 0`
`(x^2 + 2x + 1) - 5 = 0`
`(x+1)^2 - (sqrt(5))^2 = 0`
`(x+1-sqrt(5)) (x+1+sqrt(5)) = 0`
Suy ra: `x + 1 - sqrt(5) = 0` hoặc `x + 1 + sqrt(5) = 0`
`x = -1+sqrt(5)` (tm) hoặc `x = -1-sqrt(5)` (tm)
Vậy, `S = {-1+sqrt(5),-1-sqrt(5)}`
c) `(12x+7)^2 (3x+2)(2x+1) = 3`
`(12x+7)^2 . 4 (3x+2) . 6 (2x+1) = 3 . 4 . 6`
`(12x+7)^2 . (12x + 8) . (12x + 6) = 72`
Đặt `a = 12x + 7`, ta được:
`a^2 . (a-1) . (a+1) = 72`
`a^2 . (a^2 - 1) = 72`
`a^4 - a^2 - 72 = 0`
`(a^4 - 9a^2) + (8a^2 - 72) = 0`
`a^2 (a^2 -9) + 8 (a^2 - 9) = 0`
`(a^2+ 8) (a^2-9) = 0`
Suy ra: `a^2 + 8 = 0` hoặc `a^2 - 9 = 0`
Trường hợp 1: `a^2 + 8 = 0`
`a^2 = -8` (loại)
Trường hợp 2: `a^2 - 9 = 0`
`(a-3)(a+3) = 0`
`(12x+7-3)(12x+7+3) = 0`
`(12x+4)(12x + 10) =0`
Suy ra: `12x + 4 = 0` hoặc `12x + 10 = 0`
`12x = -4` hoặc `12x = -10`
`x = -4/12 = -1/3` hoặc `x = -10/12 = -5/6`
Vậy, `S = {-1/3;-5/6}`
d) `((x+3)/(x-2))^2 + 6 ((x-3)/(x+2))^2 = 7 ((x^2-9)/(x^2-4))` (`x ne +-2`)
`((x+3)/(x-2))^2 + 6 ((x-3)/(x+2))^2 = 7 ((x-3)(x+3))/((x-2)(x+2))`
Đặt `(x+3)/(x-2) = a`; `(x-3)/(x+2) = b`, khi đó ta được:
`a^2 + 6b^2 = 7ab`
`(a^2 - ab) - (6ab - 6b^2) =0 `
`a (a-b) - 6b (a-b) = 0`
`(a-6b)(a-b) = 0`
Suy ra: `a - 6b= 0` hoặc `a - b = 0`
Trường hợp 1: `a - 6b = 0`
`(x+3)/(x-2) - 6 . (x-3)/(x+2) =0 `
`(x+3)/(x-2) = (6(x - 3))/(x+2)`
`6 (x-3)(x-2) = (x+3)(x+2)`
`6 (x^2 - 5x + 6) = x^2 + 5x + 6`
`6x^2 - 30x + 36 - x^2-5x- 6 = 0`
`(6x^2 - x^2) - (30x + 5x) + (36 - 6) = 0`
`5x^2 - 35x + 30 = 0`
`x^2 - 7x + 6 = 0`
`(x^2 - x) - (6x - 6) = 0`
`x (x-1) - 6 (x-1) = 0`
`(x-6)(x-1) = 0`
Suy ra: `x-6 =0` hoặc `x - 1 =0`
`x = 6` (tm) hoặc `x = 1` (tm)
Trường hợp 2: `a - b = 0`
`a = b`
`(x+3)/(x-2) = (x-3)/(x+2)`
`(x+3)(x+2) = (x-3)(x-2)`
`x^2 + 5x + 6 = x^2 - 5x + 6 `
`x^2 + 5x + 6 - x^2 + 5x - 6 = 0`
`10x = 0`
`x = 0` (tm)
Vậy, `S ={0;1;6}`
Hãy giúp mọi người biết câu trả lời này thế nào?
`a)1/(x^2+9x+20)+1/(x^2+11x+30)+1/(x^2+13x+42)=1/18(x\ne-4;x\ne-5,x\ne-6;x\ne-7)`
`1/((x+4)(x+5))+1/((x+5)(x+6))+1/((x+6)(x+7))=1/18`
`1/(x+4)-1/(x+5)+1/(x+5)-1/(x+6)+1/(x+6)-1/(x+7)=1/18`
`1/(x+4)-1/(x+7)=1/18`
`3/((x+4)(x+7))=1/18`
`((x+4)(x+7))=54`
`x^2+11x+28=54`
`x^2+11x-26=0`
`(x+13)(x-2)=0`
`x=-13(N)` hoặc `x=2`
Vậy: `S={-13;2}`
`b)x^4/(x^2-4x+4)+x^2/(x-2)-2=0(x\ne2)`
`x^4/(x-2)^2+x^2/(x-2)^2-2=0`
`(x^2/(x-2))^2+x^2/(x-2)-2=0`
Đặt: `t=x^2/(x-2)`
`->t^2+t-2=0`
`(t-1)(t+2)=0`
`t=1` hoặc `t=-2`
`TH1:t=1`
`->x^2/(x-2)=1`
`->x^2=x-2`
`->x^2-x+2=0(VN)`
`TH2:t=-2`
`x^2/(x-2)=-2`
`x^2=-2x+4`
`x^2+2x-4=0`
`(x+1)^2-5=0`
`x+1=\sqrt{5}` hoặc `x+1=-\sqrt{5}`
`x=\sqrt{5}-1` hoặc `x=-\sqrt{5}-1` (đều thỏa)
Vậy `...`
`c)(12x+7)^2(3x+2)(2x+1)=3`
`(144x^2+168x+49)(6x^2+7x+2)=3`
`(144x^2+168x+49)(144x^2+168x+48)=72`
Đặt: `t=144x^22+168x+49` ta được:
`t(t-1)=72`
`t^2-t-72=0`
`(t-9)(t+8)=0`
`t=9` hoặc `t=-8`
`TH1:t=9`
`->144x^2+168x+49=9`
`144x^2+168x+40=0`
`8(3x+1)(6x+5)=0`
`x=-1/3` hoặc `x=-5/6`
`TH2:t=-8`
`->144x^2+168x+49=-8`
`144x^2+168x+57=0(VN)`
Vậy `...`
`((x+3)/(x-2))^2+6((x-3)/(x+2))^2=7(x^2-9)/(x^2-4)(x\ne+-2)`
`((x+3)/(x-2))^2+6((x-3)/(x+2))^2=7(x+3)/(x-2)*(x-3)/(x+2)`
Đặt: `a=(x+3)/(x-2),b=(x-3)/(x+2)`
`a^2+6b^2=7ab`
`a^2-7ab+6b^2=0`
`(a-b)(a-6b)=0`
`a=b` hoặc `a=6b`
`TH1:a=b`
`->(x+3)/(x-2)=(x-3)/(x+2)`
`(x+3)(x+2)=(x-3)(x-2)`
`x^2+5x+6=x^2-5x+6`
`5x=-5x`
`x=0(N)`
`TH2:a=6b`
`->(x+3)/(x-2)=6*(x-3)/(x+2)`
`6(x-3)(x-2)=(x+3)(x+2)`
`6(x^2-5x+6)=x^2+5x+6`
`6x^2-30x+36=x^2+5x+6`
`5x^2-35x+30=0`
`5(x^2-7x+6)=0`
`5(x-1)(x-6)=0`
`x=1(N)` hoặc `x=6(N)`
Vậy: `S={0;1;6}`
Hãy giúp mọi người biết câu trả lời này thế nào?
Bảng tin
2767
50760
1631
lỗi latex
3602
648
1758
oke