

cần trước 1h30 ạ, mng cứu em
Hãy luôn nhớ cảm ơn và vote 5*
nếu câu trả lời hữu ích nhé!
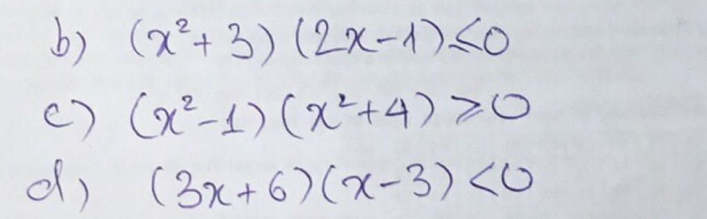
b,`(x^2+3)(2x-1)`≥`0`
nhận xét `x^2`≥0 ∀x
`->` `x^2+3`>0 ∀x
vậy `(x^2+3)(2x-1)`≥`0` khi 2x-1 $\geq$ 0
2x $\geq$ 1
x $\geq$ `1/2`
c,`(x^2-1)(x^2+4)`$\geq$ 0
nhận xét: `x^2` $\geq$ 0 ∀x
`x^2 +4 >0`∀x
vậy `(x^2-1)(x^2+4)`$\geq$ 0 khi `(x^2-1)`$\geq$ 0
`->``x^2$\geq$ 1
`->` \(\left[ \begin{array}{l}(-x)^2$\geq$ 1\\x^2$\geq$ 1\end{array} \right.\)
\(\left[ \begin{array}{l}-x\geq 1\\x\geq 1\end{array} \right.\)
\(\left[ \begin{array}{l}x \leq -1\\x \geq1\end{array} \right.\)
d,(3x+6)(x-3)<0
(x+2)(x-3)<0
đặt x+2 là A
x-3 là B
A.B<0 khi
A hăocj B <0 và số còn lại >0
mà A>B
`->` (x+2)(x-3)<0 khi
$\left \{ {{x+2>0} \atop {x-3<0}} \right.$
$\left \{ {{x>-2} \atop {x<3}} \right.$
Hãy giúp mọi người biết câu trả lời này thế nào?
`b)`
`(x^2+3)(2x-1)≤0`
Ta có: `x^2≥0 AA x`
`=>x^2+3>0 AA x`
`=>2x-1≤0`
`2x≤1`
`x≤1/2`
Vậy `x≤1/2`
`c)`
`(x^2-1)(x^2+4)≥0`
`(x-1)(x+1)(x^2+4)≥0`
Ta có: `x^2≥0 AA x`
`=>x^2+4>0 AA x`
`=>(x-1)(x+1)≥0`
`Th1:`
`{(x-1≥0),(x+1≥0):}`
`{(x≥1),(x≥ -1):}`
`->x≥1`
`Th2:`
`{(x-1≤0),(x+1≤0):}`
`{(x≤1),(x≤ -1):}`
`->x≤ -1`
Vậy `x≥1` hoặc `x≤ -1`
`d)`
`(3x+6)(x-3)<0`
`Th1:`
`{(3x+6≤0),(x-3>0):}`
`{(3x≤-6),(x>3):}`
`{(x≤-2),(x>3):}` (vô lí)
`Th2:`
`{(3x+6≥0),(x-3<0):}`
`{(3x≥-6),(x<3):}`
`{(x≥-2),(x<3):}`
`->-2≤x<3`
Vậy `-2≤x<3`
Hãy giúp mọi người biết câu trả lời này thế nào?
Bảng tin