

cái đề là rút gọn nếu có thể
Hãy luôn nhớ cảm ơn và vote 5*
nếu câu trả lời hữu ích nhé!
Đáp án`+`Giải thích các bước giải:
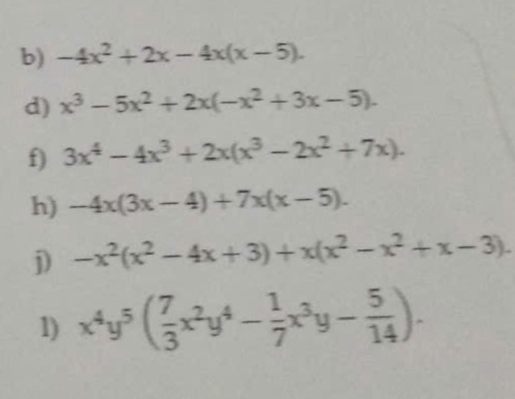
`b, - 4x^2 + 2x - 4x(x - 5)`
`= -4x^2 + 2x - 4x^2 + 20x`
`= -8x^2 + 22x`
`d, x^3 - 5x^2 + 2x(-x^2 + 3x- 5)`
`= x^3 - 5x^2 - 2x^3 + 6x^2 - 10x`
`= -x^3 + x^2 - 10x`
`f, 3x^4 - 4x^3 + 2x(x^3 - 2x^2 + 7x)`
`= 3x^4 - 4x^3 + 2x^4 - 4x^3 + 12x^2`
`= 5x^4 - 8x^3 + 12x^2`
`h, -4x(3x - 4) + 7x(x - 5)`
`= -12x^2 + 16x + 7x^2- 35x`
`= -5x^2 - 19x`
`j, -x^2 (x^2 - 4x + 3) +x(x^2 - x^2 +x - 3)`
`= -x^4 + 4x^3 - 3x^2 + x(x - 3)`
`= -x^4 + 4x^3- 3x^2 +x^2 - 3x`
`= -x^4 + 4x^3 -2x^2 - 3x`
`l, x^4 y^5 (7/3 x^2 y^4 - 1/7 x^3 y - 5/(14))`
`= 7/3 x^6 y^9 - 1/7 x^7 y^6 - 5/(14) x^4 y^5`
`***`sharksosad
Hãy giúp mọi người biết câu trả lời này thế nào?

Bảng tin
4643
42996
2886
BĐHH trl 2 câu hỏi cùng ND à... căng phết
5937
94305
3866
xem lại đề?
4643
42996
2886
Dạ t xin lỗi, chưa đọc đề