Đăng nhập để hỏi chi tiết


Hãy luôn nhớ cảm ơn và vote 5*
nếu câu trả lời hữu ích nhé!
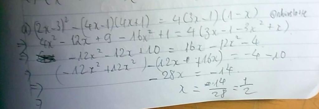
`(2x-3)^2 - (4x-1)(4x+1) = 4(3x-1)(1-x)`
`<=> (2x)^2 - 2.2x.3 + 3^2 - [(4x)^2-1] = 4(3x-3x^2-1+x)`
`<=> 4x^2 - 12x + 9 - ( 16x^2 - 1 ) = 12x - 12x^2 - 4 + 4x `
`<=> 4x^2 - 12x + 9 - 16x^2 + 1 - 12x + 12x^2 + 4 - 4x =0 `
`<=> -28x + 14 = 0`
`<=> -28x = -14`
`<=> x = 1/2`
Vậy `S = { 1/2 }`
Hãy giúp mọi người biết câu trả lời này thế nào?
Bảng tin