

Hãy luôn nhớ cảm ơn và vote 5*
nếu câu trả lời hữu ích nhé!
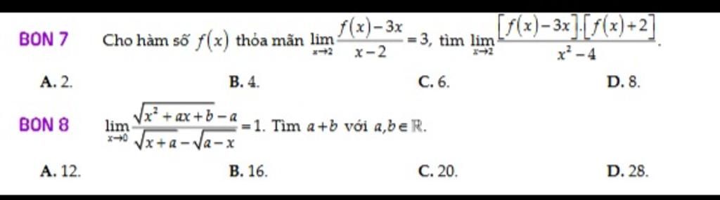
`-` 7)
`\lim_{x \to 2} (f(x) - 3x) = 0`
`=>``\lim_{x \to 2} (f(x) - 3x) = 0`
Do đó: `\lim_{x \to 2} f(x) = \lim_{x \to 2} 3x = 3(2) = 6`
`-` Ta có:
`\lim_{x \to 2} \frac{[f(x) - 3x][f(x) + 2]}{x^2 - 4} = 3 \cdot \frac{\lim_{x \to 2} f(x) + 2}{\lim_{x \to 2} x + 2} = 3 \cdot \frac{6 + 2}{2 + 2} = 3 \cdot \frac{8}{4} = 3 \cdot 2 = 6`
`-> ` chọn C
`-` 8)
`+)` ĐK: `sqrt{x^2+ax+b)-a=0` khi `x=0`
`=>sqrt{b}-a=0` `=>b=a^2`
`-` Thay `b=a^2` có:
`\lim_{x \to 0} \frac{(\sqrt{x^2 + ax + a^2} - a)(\sqrt{x^2 + ax + a^2} + a)(\sqrt{x + a} + \sqrt{a - x})}{(\sqrt{x + a} - \sqrt{a - x})(\sqrt{x + a} + \sqrt{a - x})(\sqrt{x^2 + ax + a^2} + a)} = 1`
`=>``\lim_{x \to 0} \frac{(x^2 + ax + a^2 - a^2)(\sqrt{x + a} + \sqrt{a - x})}{(x + a - (a - x))(\sqrt{x^2 + ax + a^2} + a)} = 1`
`=>``\lim_{x \to 0} \frac{(x^2 + ax)(\sqrt{x + a} + \sqrt{a - x})}{2x(\sqrt{x^2 + ax + a^2} + a)} = 1`
`=>``\lim_{x \to 0} \frac{x(x + a)(\sqrt{x + a} + \sqrt{a - x})}{2x(\sqrt{x^2 + ax + a^2} + a)} = 1`
`=>` `\lim_{x \to 0} \frac{(x + a)(\sqrt{x + a} + \sqrt{a - x})}{2(\sqrt{x^2 + ax + a^2} + a)} = 1`
`=>``\frac{(0 + a)(\sqrt{0 + a} + \sqrt{a - 0})}{2(\sqrt{0^2 + a(0) + a^2} + a)} = 1`
`=>`` \frac{a(\sqrt{a} + \sqrt{a})}{2(\sqrt{a^2} + a)} = 1`
`=>``\frac{a(2\sqrt{a})}{2(a + a)} = 1`
`=>`` \frac{2a\sqrt{a}}{4a} = 1`
`=>``\frac{\sqrt{a}}{2} = 1`
`=>``\sqrt{a} = 2`
`=>` `a=4` `->` `b = a^2 = 4^2 = 16`
`-` Vậy chọn C
Hãy giúp mọi người biết câu trả lời này thế nào?

Bảng tin