

Mới học về căn bậc hai số học ( phần cộng và trừ) và phần tổng quát của l9 nên giải thích chi tiết giùm mình
Hãy luôn nhớ cảm ơn và vote 5*
nếu câu trả lời hữu ích nhé!
Đáp án:
`-5`
Giải thích các bước giải:
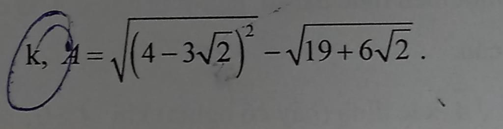
`A=sqrt{(4-3sqrt{2})^2}-sqrt{19+6sqrt{2}}`
`=|4-3sqrt{2}|-sqrt{19+2.3sqrt{2}}`
`=3sqrt{2}-4-sqrt{18+2.(3sqrt{2}).1+1}`
`=3sqrt{2}-4-sqrt{(9.2)+2.(3sqrt{2}).1+1}`
`=3sqrt{2}-4-sqrt{(3sqrt{2})^2+2.(3sqrt{2}).1+1^2}`
`=3sqrt{2}-4-sqrt{(3sqrt{2}+1)^2}`
`=3sqrt{2}-4-|3sqrt{2}+1|`
`=3sqrt{2}-4-3sqrt{2}-1`
`=-4-1=-5`
Giải thích kỹ hơn:
- `sqrt{A^2}=|A|` (`A` là một biểu thức)
- Khi gặp biểu thức giống biểu thức `sqrt{19+6sqrt{2}}` thì phải tìm cách biến đổi phần dưới dấu căn thành bình phương của một tổng hoặc một hiệu (ở đây mình biến đổi thành `sqrt{(3sqrt{2}+1)^2}`)
để từ đó dùng đẳng thức `sqrt{A^2}=|A|`.
Hãy giúp mọi người biết câu trả lời này thế nào?
`k, A = sqrt((4-3sqrt2)^2) - sqrt(19+6sqrt2) `
`A = sqrt((4-3sqrt2)^2) - sqrt(19+2 . 3 . sqrt2) `
`A = sqrt((4-3sqrt2)^2) - sqrt(19+2 . sqrt9 . sqrt2) `
`A = sqrt((4-3sqrt2)^2) - sqrt(19+2sqrt18) `
`A = sqrt((4-3sqrt2)^2) - sqrt(18+2sqrt18 + 1) `
`A = sqrt((4-3sqrt2)^2) - sqrt((sqrt18 + 1)^2) `
`A = |4-3sqrt2| - |sqrt18 + 1|`
Ta có `(a+b)^2 = a^2 + 2ab + b^2`
`(a-b)^2 = a^2 - 2ab + b^2`
Hãy giúp mọi người biết câu trả lời này thế nào?
![]()
Bảng tin
158
1023
182
Anh bạn trl rất chất lượng
158
1023
182
À tutu
158
1023
182
Cho hỏi cái
411
2623
617
Bạn hỏi gì thế?