

Hãy luôn nhớ cảm ơn và vote 5*
nếu câu trả lời hữu ích nhé!
Đáp án+Giải thích các bước giải:
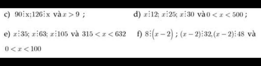
`c)`
Ta có : `x∈ƯC(90,126)`
Có : `90=2xx3^2xx5`
`126=2xx3^2xx7`
`->UCLN(90,126)=2xx3^2=2xx9=18`
`->UC(90,126)={1;2;3;6;9;18}`
Mà vì `x>9` nên `x=18`
Vậy `x=18`
`d)`
Ta có : `x∈BC(12;25,30)`
Có : `12=2^2xx3`
`25=5^2`
`30=2xx3xx5`
`->BCNN(12,25;30)=2^2xx3xx5^2=300`
`->BC(12,25,30)={0;300;600;......}`
Mà vì `0<x<500` nên `x=300`
Vậy `x=300`
`e)`
Ta có : `x∈BC(35;63,105)`
Có : `35=5xx7`
`63=3^2xx7`
`105=3xx5xx7`
`->BCNN(12,25;30)=5xx7xx3^2=315`
`->BC(35,63,105)={0;315;630;945;......}`
Mà vì `315<x<632` nên `x=630`
Vậy `x=630`
`f)`
Ta có : `x-2∈BC(8;32,48)`
Có : `8=2^3`
`32=2^5`
`48=2^4xx3`
`->BCNN(8,32,48)=2^5xx3=96`
`->BC(8,32,48)={0;96;192;......}`
`->x∈{2;98;194;......}`
Mà vì `0<x<100` nên `x=98`
Vậy `x=98`
Hãy giúp mọi người biết câu trả lời này thế nào?
![]()
Đáp án:
Giải thích các bước giải:
`c`
`90 vdots x`
`126 vdots x`
`to x in ƯC_(90;126)`
`90=2*3^2*5`
`126 = 2*3^2*7`
`to ƯCLNN_((90;126))=2*3^2 = 18`
`to x in Ư_((18))={+-18;+-9;+-6;+-3;+-2;+-1}`
Mà `x >9`
`to x = 18`
Vậy `x=18`
`d`
`x vdots 12`
`x vdots 25`
`x vdots 30`
`to x in BC_((12;25;30))`
`12=2^2*3`
`25 =5^2`
`30 = 2*3*5`
`to BCNNN_((12;25;30))=2^2*3*5^2 = 300`
`to x in B_((300))={0;300;600;......}`
Mà `0 <x < 500`
`to x =300`
Vậy `x=300`
`e`
`x vdots 35 ; x vdots 63 ; x vdots 105 `
`to x in BC_((35;63;105))`
`35 =5*7`
`63 = 3^2*7`
`105 = 3*5*7`
`to BCNNN_((35;63;105))=3^2*5*7=315`
`to x in B_((315))={0;315;630;945;....}`
Mà `315 <x < 632`
`to x =630`
Vậy `x=630`
`f`
`(x-2) vdots 8`
`(x-2) vdots 32`
`x-2 vdots 48`
`to x-2 in BC_((8;32;48))`
`8=2^3`
`32 = 2^5`
`48= 2^4*3`
`to BCNNN_((8;32;48))=2^5*3 =96`
`to x-2 in B_((96))={0;96;192;...}`
Mà `0 < x < 100`
`to -2 <x- 2 < 98`
`to x-2=96`
`x=98`
Vậy `x=98`
Hãy giúp mọi người biết câu trả lời này thế nào?
![]()
Bảng tin