Vui lòng chỉ chọn một câu hỏi
Hoidap247.com Nhanh chóng, chính xác
+
Danh mục mới
0
62
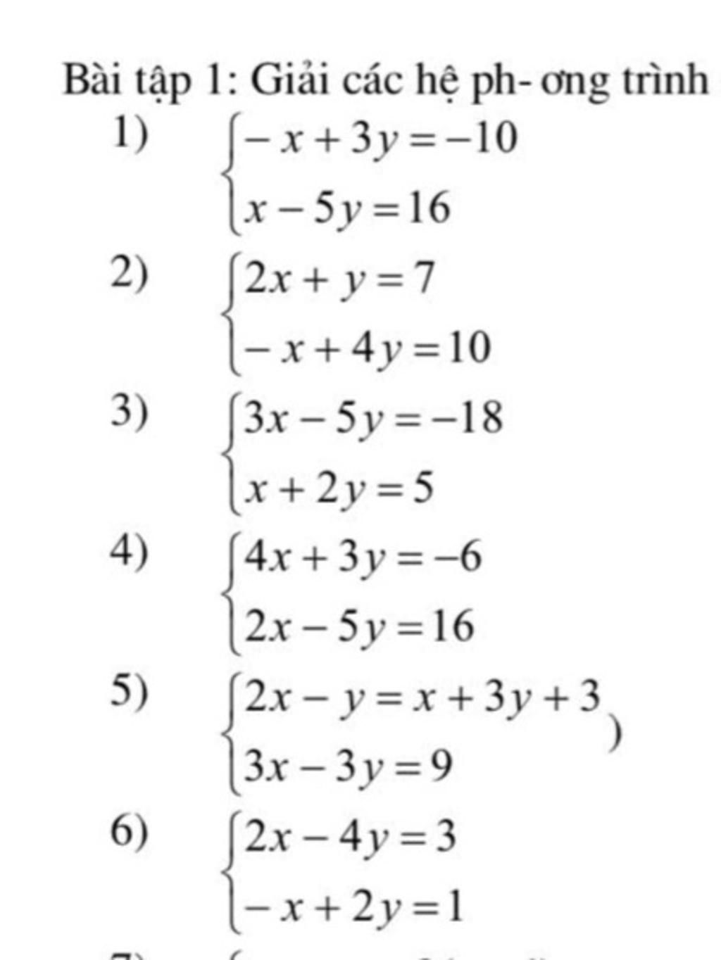
hhuh bt hè
ac nào giúp e vài câu
Hãy luôn nhớ cảm ơn và vote 5* nếu câu trả lời hữu ích nhé!
1
308
...
Hãy giúp mọi người biết câu trả lời này thế nào?
thanks cj gai
Xem thêm:
732
8371
838
Đáp án:
Giải thích các bước giải:
thanks cj oi
da
Bảng tin
Gửi yêu cầu Hủy
0
62
0
thanks cj gai