

Hãy luôn nhớ cảm ơn và vote 5*
nếu câu trả lời hữu ích nhé!
Đáp án `+` Giải thích các bước giải:
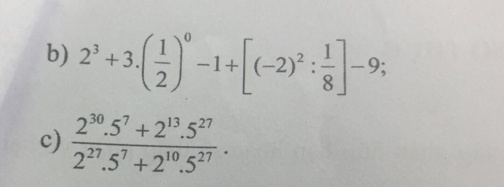
`b) 2^3 + 3 .(1/2)^0 - 1 + [(-2)^2 : 1/8] - 9`
`= 8 + 3 . 1 - 1 + [4 . 8] - 9`
`= 8 + 3 - 1 + 32 - 9`
`= 11 - 1 + 32 - 9`
`= 10 + 32 - 9`
`= 42 - 9`
`= 33`
``
`c) (2^30 . 5^7 + 2^13 . 5^27)/(2^27 . 5^7 + 2^10 . 5^27)`
`=(2^13 . 5^7.(2^17+5^20))/(2^10. 5^7.(2^17+5^20))`
`= (2^13 . 5^7)/(2^10 . 5^7)`
`= (2^3)/1`
`= 8`
Hãy giúp mọi người biết câu trả lời này thế nào?
![]()
Đáp án:
Giải thích các bước giải:
`b) 2^3+3.(1/2)^0-1+[(-2)^2:1/8)-9`
`=8+3.1-1+[4:1/8]-9`
`=10+32-9`
`=33`
`c)(2^30 .5^7+2^13. 5^27)/(2^27 .5^7+2^10. 5^27)`
`=(2^13 .5^7(2^17+5^20))/(2^10 .5^7(2^17+5^20))`
`=(2^13)/(2^10)`
`=2^3`
`=8`
Hãy giúp mọi người biết câu trả lời này thế nào?
![]()
Bảng tin