

Hãy luôn nhớ cảm ơn và vote 5*
nếu câu trả lời hữu ích nhé!
Đáp án+Giải thích các bước giải:
`7)` Ta có: `|y| = 2`
`-> y = ± 2`
`TH1:` Tại `x = 3 ; y = 2` ta đc:
`D = (3^2 + 4)(2 - 3)`
`D = (9 + 4).(-1)`
`D = -13`
`TH2:` Tại `x = 3 ; y = -2` ta đc:
`D = (3^2 + 4)(-2 - 3)`
`D = (9 + 4) . (-5)`
`D = -65`
`8)` Ta có: `\sqrt{x} = 3`
`-> x = 9`
Tại `x = 9 ; y = 5` ta đc:
`D = (6 . 9 + 1)(5 - 4)`
`D = (54 + 1) . 1`
`D = 55`
`9)` Ta có: `|x| = 1/2`
`-> x = ± 1/2`
`TH1:` Tại `x = 1/2` ta đc:
`D = 3 . (1/2)^2 + 2 . 1/2 - 1`
`D = 3 . 1/4 + 1 - 1`
`D = 3/4`
`TH2:` Tại `x = -1/2` ta đc:
`D = 3 . (-1/2)^2 + 2 . (-1)/2 - 1`
`D = 3 . 1/4 - 1 - 1`
`D = -5/4`
`10)` Ta có: `|x| = 1/3`
`-> x = ± 1/3`
`TH1:` Tại `x = 1/3` ta đc:
`D = 3 . (1/3)^2 + 2 . 1/3 - 3`
`D = 3 . 1/9 + 2/3 - 3`
`D = -2`
`TH2:` Tại `x = -1/3` ta đc:
`D = 3 . (-1/3)^2 + 2 . (-1)/3 - 3`
`D = 3 . 1/9 - 2/3 - 3`
`D = -10/3`
`11)` Ta có: `|x| = 1/2`
`-> x = ± 1/2`
Xét `D = (6x^2 + x - 3)/(2x - 1)` (đkxđ: `x \ne 1/2`)
`TH1: x = 1/2` (KTM)
`TH2: x = -1/2`(TM) ta đc:
`D = (6 . (-1/2)^2 + (-1)/2 - 3)/(2 . (-1)/2 - 1)`
`D = (6 . 1/4 - 1/2 - 3)/(-1 - 1)`
`D = (-2)/(-2)`
`D = 1`
`12)` Ta có: `|x| = 3`
`-> x = ± 3`
Xét `D = (2x^2 + 3x - 2)/(x + 2)` (đkxđ: `x \ne -2`)
`TH1: x = 3` (TM) ta đc:
`D = (2 . 3^2 + 3 . 3 - 2)/(3 + 2)`
`D = (2 . 9 + 9 - 2)/5`
`D = 25/5`
`D = 5`
`TH2: x = -3` (TM) ta đc:
`D = ( 2 . (-3)^2 + 3 . (-3) - 2)/(-3 + 2)`
`D = (2 . 9 - 9 - 2)/(-1)`
`D = 7/(-1)`
`D = -7`
Hãy giúp mọi người biết câu trả lời này thế nào?
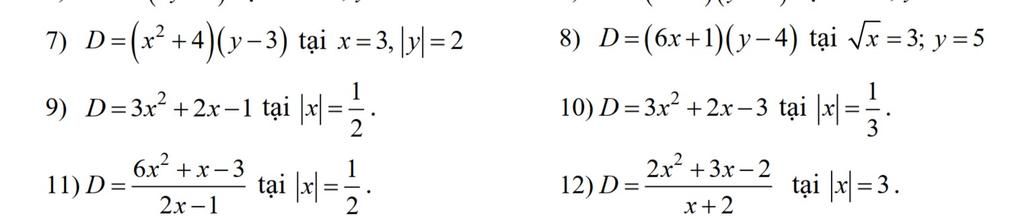
`7)D=(x^2+4)(y-3)`
`|y|=2`
Suy ra: `y=2` hoặc `y=-2`
Thay `x=3` và `y=2` vào `D` ta được:
`D=(3^2+4)(2-3)=13*(-1)=-13`
Thay `x=3` và `y=-2` vào `D` ta được:
`D=(3^2+4)*(-2-3)=13*(-5)=-65`
`8)D=(6x+1)(y-4)`
`\sqrt{x}=3`
`->x=3^2=9`
Thay `x=9,y=5` vào `D` ta được:
`D=(6*9+1)(5-4)=55*1=55`
`9)D=3x^2+2x-1`
`|x|=1/2`
Suy ra: `x=1/2` hoặc `x=-1/2`
Thay `x=1/2` vào `D` ta được:
`D=3*(1/2)^2+2*1/2-1=3*1/4+1-1=3/4`
Thay `x=-1/2` vào `D` ta được:
`D=3*(-1/2)^2+2*(-1/2)-1=3*1/4-1-1=3/4-2=-5/4`
`10)D=3x^2+2x-3`
`|x|=1/3`
Suy ra: `x=1/3` hoặc `x=-1/3`
Thay `x=1/3` vào `D` ta được:
`D=3*(1/3)^2+2*1/3-3=3*1/9+2/3-3`
`=1/3+2/3-3=1-3=-2`
Thay `x=-1/3` vào `D` ta được:
`D=3*(-1/3)^2+2*(-1/3)-3=3*1/9-2/3-3`
`=1/3-2/3-3=-1/3-3=-10/3`
`11)D=(6x^2+x-3)/(2x-1)(x\ne1/2)`
`|x|=1/2`
Suy ra: `x=1/2(L)` hoặc `x=-1/2`
Thay `x=-1/2` vào `D` ta được:
`D=(6*(-1/2)^2-1/2-3)/(2*-1/2-1)`
`=(6*1/4-1/2-3)/(-1-1)=(3/2-1/2-3)/(-2)=(1-3)/(-2)=1`
`12)D=(2x^2+3x-2)/(x+2)(x\ne-2)`
`|x|=3`
Suy ra: `x=3` hoặc `x=-3`
Thay `x=3` vào `D` ta được:
`D=(2*3^2+3*3-2)/(3+2)=(18+9-2)/5=25/5=5`
Thay `x=-3` vào `D` ta được:
`D=(2*(-3)^2+3*(-3)-2)/(-3+2)=(18-9-2)/(-1)=7/(-1)=-7`
Hãy giúp mọi người biết câu trả lời này thế nào?
Bảng tin