Tham Gia Group Dành Cho Lớp 6 Chia Sẻ, Trao Đổi Tài Liệu Miễn Phí
551
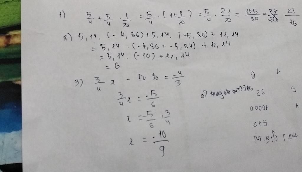
Câu 1: (0,75 điểm) Thực hiện phép tính: 4 4 20
Câu 2: (0,75 điểm) Tính hợp lý: 5,14.(-4,86) +5,14.(-5,84)+11,14
3
Câu 3: (1,0 điểm) Tìm x biết: 4
x-50% -1
1
3
Câu 4: (2,0 điểm) Trên đường thẳng xy lấy điểm A. Trên tia Ax lấy hai điểm C, B sao cho
=
AB 8cm, AC = 6cm.
a) Tính BC.
b) ...
159
252
108
vô nhóm mình k ạ
2280
107
1634
Ko ạ