

????????????????????????????????
Hãy luôn nhớ cảm ơn và vote 5*
nếu câu trả lời hữu ích nhé!
Đáp án:
Giải thích các bước giải:
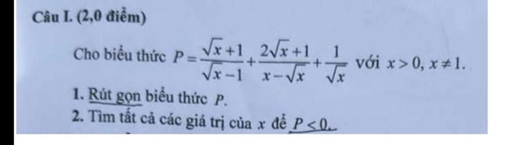
`P=(sqrtx+1)/(sqrtx-1)+(2sqrtx+1)/(x-sqrtx)+1/sqrtx`
`=(sqrtx.(sqrtx+1)+2sqrtx+1+xqrtx-1)/(sqrtx.(sqrtx-1))`
`=(x+sqrtx+2sqrtx+1+sqrtx-1)/(x-sqrtx)`
`=(x+4sqrtx)/(x-sqrtx)`
`=(sqrtx.(sqrtx+4))/(sqrtx.(sqrtx-1))`
`=(sqrtx+4)/(sqrtx-1)`
Để `P<0`
`=>(sqrtx+4)/(sqrtx-1)<0`
có `sqrtx+4>0` vì `sqrtx>=0`
`=>sqrtx-1` phải `<0`
`=>sqrtx<1`
`=>x<1`
kết hợp vs đk `x>0,xne1`
`=>0<x<1` để `P<0`
Hãy giúp mọi người biết câu trả lời này thế nào?
`1.` Điều kiện: `x > 0, x ne 1`
`P = (sqrt(x)+1)/(sqrt(x)-1) + (2sqrt(x)+1)/(x-sqrt(x)) + 1/sqrt(x)`
`P = (sqrt(x)+1)/(sqrt(x)-1) + (2sqrt(x)+1)/(sqrt(x)(sqrt(x)-1)) + 1/sqrt(x)`
`P = (sqrt(x)(sqrt(x)+1) + (2sqrt(x)+1) + (sqrt(x)-1))/(sqrt(x)(sqrt(x)-1))`
`P = (x+sqrt(x) + 2sqrt(x)+1 + sqrt(x)-1)/(sqrt(x)(sqrt(x)-1))`
`P = (x+4sqrt(x))/(sqrt(x)(sqrt(x)-1))`
`P = (sqrt(x)(sqrt(x)+4))/(sqrt(x)(sqrt(x)-1))`
`P = (sqrt(x)+4)/(sqrt(x)-1)`
`2.` Ta có:
`P = (sqrt(x)+4)/(sqrt(x)-1)`
Để `P < 0` thì `sqrt(x)+4 > 0 AA x > 0`
`=> sqrt(x)-1 < 0`
`=> sqrt(x) < 1`
`=> x < 1`
Mà `x > 0, x ne 1`
Nên `0 < x < 1`
Vậy để `P < 0` thì `0 < x < 1`
Hãy giúp mọi người biết câu trả lời này thế nào?
Bảng tin
5756
1148
3423
:))) trôn trôn
1204
496
1205
=)))
5756
1148
3423
acc 9 đâu
5756
1148
3423
sợ tranh top của cm á
1204
496
1205
acc 9 của t ?
1204
496
1205
sợ tranh top của cm á `=>` là s ?
5756
1148
3423
ý là sợ làm vài cái = cm làm lâu á
1204
496
1205
=)))