

Hãy luôn nhớ cảm ơn và vote 5*
nếu câu trả lời hữu ích nhé!
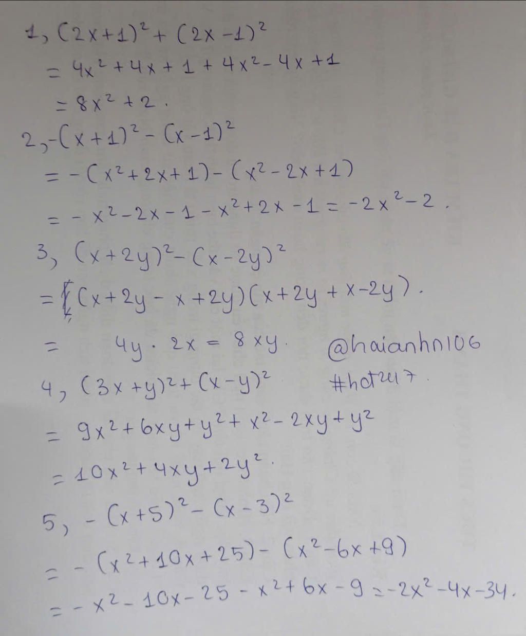
Đáp án+Giải thích các bước giải:
`1)(2x+1)^{2}+(2x-1)^{2}`
`=(2x)^{2}+2.2x.1+1^{2}+(2x)^{2}-2.2x.1+1^{2}`
`=4x^{2}+4x+1+4x^{2}-4x+1`
`=8x^{2}+2`
`2)-(x+1)^{2}-(x-1)^{2}`
`=-[(x+1)^{2}+(x-1)^{2}]`
`=-(x^{2}+2.x.1+1^{2}+x^{2}-2.x.1+1^{2})`
`=-(2x^{2}+2x-2x+1+1)`
`=-(2x^{2}+2)`
`=-2x^{2}-2`
`3)(x+2y)^{2}-(x-2y)^{2}`
`=[(x+2y)-(x-2y)].[(x+2y)+(x-2y)]`
`=(x+2y-x+2y).(x+2y+x-2y)`
`=4y.2x`
`=8xy`
`4)(3x+y)^{2}+(x-y)^{2}`
`=(3x)^{2}+2.3x.y+y^{2}+x^{2}-2.x.y+y^{2}`
`=9x^{2}+6xy+y^{2}+x^{2}-2xy+y^{2}`
`=10x^{2}+4xy+2y^{2}`
`5)-(x+5)^{2}-(x-3)^{2}`
`=-[(x+5)^{2}+(x-3)^{2}]`
`=-(x^{2}+2.x.5+5^{2}+x^{2}-2.x.3+3^{2})`
`=-(2x^{2}+10x-6x+25+9)`
`=-(2x^{2}+4x+34)`
`=-2x^{2}-4x-34`
`6)(3x-2)^{2}-(3x-1)^{2}`
`=[(3x-2)-(3x-1)].[(3x-2)+(3x-1)]`
`=(3x-2-3x+1).(3x-2+3x-1)`
`=(-1).(6x-3)`
`=-6x+3`
`7)(x-4y)^{2}+(x+4y)^{2}`
`=x^{2}-2.x.4y+(4y)^{2}+x^{2}+2.x.4y+(4y)^{2}`
`=2x^{2}-8xy+8xy+16y^{2}+16y^{2}`
`=2x^{2}+32y^{2}`
`8)-(-2x+3)^{2}-(5x-3)^{2}`
`=-[-(2x-3)]^{2}-(5x-3)^{2}`
`=-(2x-3)^{2}-(5x-3)^{2}`
`=-[(2x-3)^{2}+(5x-3)^{2}]`
`=-[(2x)^{2}-2.2x.3+3^{2}+(5x)^{2}-2.5x.3+3^{2}]`
`=-(4x^{2}-12x+9+25x^{2}-30x+9)`
`=-(29x^{2}-42x+18)`
`=-29x^{2}+42x-18`
Hãy giúp mọi người biết câu trả lời này thế nào?
![]()
Bảng tin