

Hãy luôn nhớ cảm ơn và vote 5*
nếu câu trả lời hữu ích nhé!
`1.8`
`a)`
Thay `m=2`, ta có:
`{(2x-y=-3),(-2·2^2x+9y=3(-2+3)):}`
`{(2x-y=-3),(-8x+9y=3):}`
`{(8x-4y=-12),(-8x+9y=3):}`
`{(5y=-9),(-8x+9y=3):}`
`{(y=-9/5),(-8x+9·(-9/5)=3):}`
`{(y=-9/5),(-8x-81/5=3):}`
`{(y=-9/5),(-8x=96/5):}`
`{(y=-9/5),(x=-12/5):}`
Vậy `(x;y)=(-12/5;-9/5)`
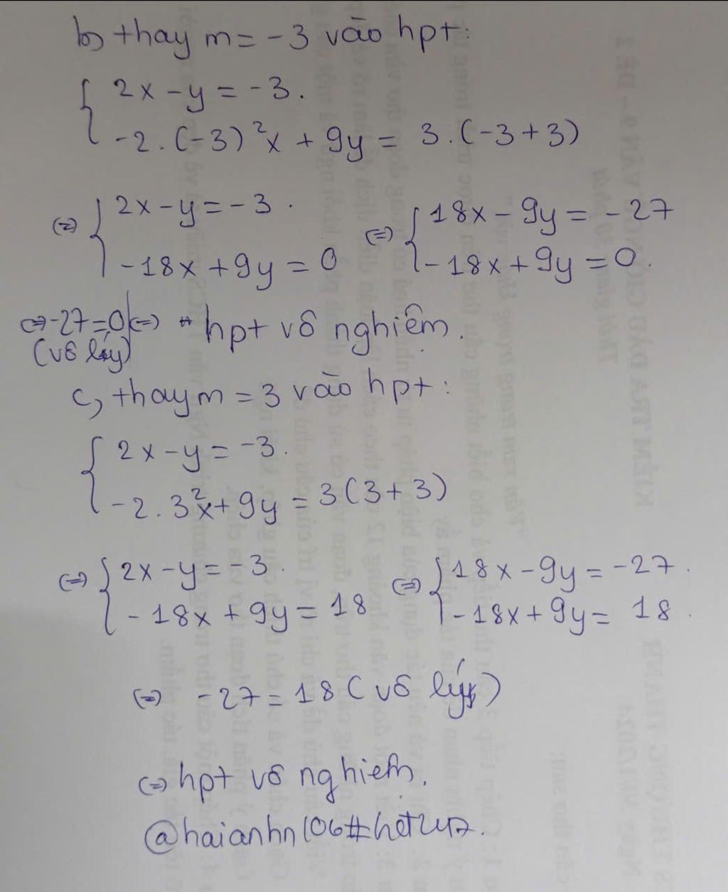
`b)`
Thay `m=-3`, ta có:
`{(2x-y=-3),(-2·(-3)^2x+9y=3(-3+3)):}`
`{(2x-y=-3),(-18x+9y=0):}`
`{(18x-9y=-27),(-18x+9y=0):}`
`{(0x+0y=-27),(-18x+9y=0):}` (vô lí)
Vậy pt vô nghiệm
Thay `m=3`, ta có:
`{(2x-y=-3),(-2·3^2x+9y=3(3+3)):}`
`{(2x-y=-3),(-18x+9y=18):}`
`{(2x-y=-3),(-2x+y=2):}`
`{(0x+0y=-1),(-2x+y=2):}` (vô lí)
Vậy pt vô nghiệm
Hãy giúp mọi người biết câu trả lời này thế nào?

Bảng tin