

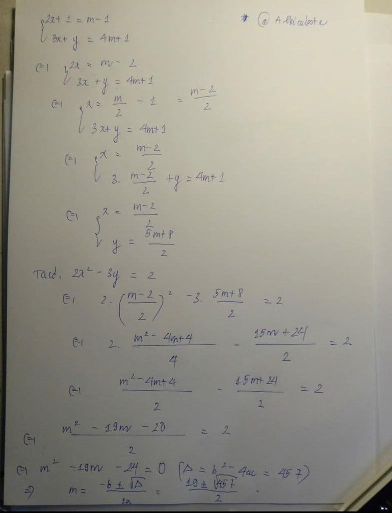
cho hệ phương trình :{ 2x+1=m-1|3x+y=4m+1
tìm m để hệ phương trình trên có 1 nghiệm thỏa mãn 2x²-3y=2
Hãy luôn nhớ cảm ơn và vote 5*
nếu câu trả lời hữu ích nhé!
`{(2x+1=m-1),(3x+y=4m+1):}`
`{(x=(m-2)/2),(3. (m-2)/2+y=4m+1):}`
`{(x=(m-2)/2),(y=4m+1-(3m-6)/2):}`
`{(x=(m-2)/2),(y=(8m+2-3m+6)/2):}`
`{(x=(m-2)/2),(y=(5m+8)/2):}`
suy ra ta có:
`2x^2-3y=2`
`2. (m-2)^2/4-3. (5m+8)/2=2`
`(m^2-4m+4)/2-(15m+24)/2=2`
`m^2-4m+4-15m-24=4`
`m^2-19m-24=0`
`\Delta=(-19)^2-4.1.(-24)=457>0`
suy ra pt có 2 nghiệm pb:
`m_1=(19+sqrt(457))/2`
`m_2=(19-sqrt(457))/2`
vậy với `m={(19-sqrt(457))/2;(19+sqrt(457))/2}` thì hpt có nghiệm `(x;y)` thỏa mãn `2x^2-3y=2`
Hãy giúp mọi người biết câu trả lời này thế nào?
![]()
Bảng tin